Written by
in
Welcome to your NEET REVISION VIII TEST (21.02.2026)
PHYSICS
1) 15.6 A, 30o 2) 15.6 A, 45o3) 7.8 A, 30o4) 7.8 A, 45o
2. A coil having N turns and resistance R is connected with a galvanometer of resistance 4R . This combination is moved in time t seconds from a magnetic field such that the linked magnetic flux with each coil changes from W1 weber to W2 The induced current in the circuit is
3. Three masses each of mass m are placed at the vertices of an equilateral triangles ABC of side l as shown in figure. The force acting on a mass 2m placed at the centroid O of the triangle is:
4. What is the maximum height reached by a rocket fired with speed equal to 80% of escape velocity from earth’s surface?
1) 16/25 R2) 16/9 R3) 16/5 R 4) 16/3 R
5. Under the influence of a uniform magnetic field, a charged particle is moving in a circle of radius R with constant speed v. The time period of the motion1. depends on both R and v2. is independent of both R and v3. depends on R and not on v4. depends on v and not on RDeselect Answer
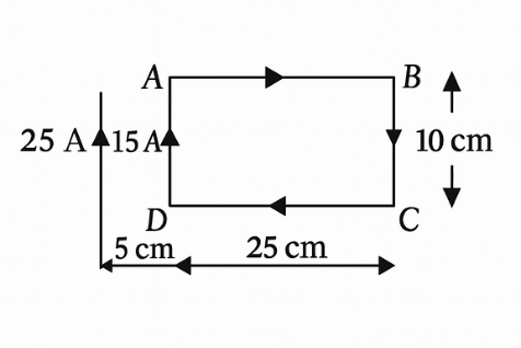
6. A rectangular loop ABCD is placed near an infinite length current-carrying wire. Magnetic force on the loop is:1) 1.25×10−4 N, Attraction2) 1.25×10−4 N, Repulsion3) 12.5×10−4 N, Repulsion4) 12.5×10−4 N, AttractionDeselect Answer
1). 11.55 kW2). 1155 kW3). 23.10 kW4). 2310 kW
1) 20 V and 2.0 mA2) 10 V and 0.5 mA3) Zero volt and therefore no current4) 20 V and 0.5 mA
1) infinity2) zero3) unity 4) some finite small non-zero constant value
1) 4: 12) 1: 4 3) 2: 34) 3: 4
1) Only A and B2) Only C and D3) Only D4) Only C
1) 1056 kg 2) 1032 kg 3) 1060 kg4) 1030 kg
1) 1.5 m2) 1.2 m 3) 2 m 4) 1 m
1) Only A and B2) Only B and C3) Only A4) Only C
1) 1μF2) 4 μ3) 0.5 μF 4) 2μF
1) E=0, V=02) E=0, V≠03) E≠0, V=04) E≠0, V≠0
1) 180/11 V2) 11/180 V3) 10 V4) 5 V
1) 13.6 eV2) 1.51 eV3) 6.8 eV 4) 3.4 eV
1) 97 nm 2) 89 nm3) 80 nm4) 45 nm
1) Charge2) Mass3) Momentum 4) Stability
1) t= 1s2) t= 0.5s3) t= 0.25s4) t= 2s
1) 50°2) 60°3) 90°4) 40°
1) μ=1.332) μ=1.403) μ=1.504) μ=1.25
1) π sec 2) 2π sec3) 3π sec4) 4π sec
1) 8mm 2) 6mm3) 4mm 4) 3mm
1) 3 cm2) 4 cm3) 5 cm4) 7 cm
1) 3:22) 2 :13) 1: 2 4) 2 :3
1) 2(√3) cm2) 2(√5) cm3) √5cm4) √3cm
1) 3.4mm,30mm 2) 6.8 mm, 15 mm3) 3.4 mm, 15 mm 4) 6.8 mm, 30 mm
1) 25cm2) 12.5cm3) 100cm4) 200cm
1) 180°−3A2) 180°−2A3) 90°−A 4) 180°+2A
CHEMISTRY
1) 12) 23) 34) 4
1) Li22) F23) Li2+4) Be2
1) 0.693/2k2) Log2/k3) In2/k 4) 0.693/0.7k
1) 4.52 x 10-22 m2) 3.01 x 10-22 m3) 1.26 x 10-12 m 4) 2.6 x 10-12 m
1) E1 = E22) E1 > E23) E1 < E24) E1 ≤ E2
1) √2h/2π2) √6h/2π3) √9h/2π 4) √3h/2π
1) 3 2) 23) 54) 4
1) [Ne] 3s12) [Ne] 3s23) [Xe] 6s14) [Xe] 6s2
1) Copernicium 2) Meitnerium3) Darmstadium 4) Rontgenium
1) [A] vs t2) log10 [A] vs log t3) -log10 [A] vs t4) -loge [A] vs t
1) 6 × 10⁻² 2) 4 × 10⁻⁴3) 4 × 10⁻² 4) 16 × 10⁻⁴
1) 8.2 atm2) 2.46 atm3) 4.92 atm4) 1.64 atm
1) +7 to +42) +6 to +43) +7 to +34) +6 to +5
1) P₄O₆ and H₃PO₃ 2) PCl₅ and H₃PO₄3) PCl₃ and H₃PO₃ 4) POCl₃ and H₃PO₄
1) BF₃2) BCl₃3) BBr₃4) BI₃
1) A-III, B-II, C-I, D-IV2) A-III, B-I, C-IV, D-II3) A-I, B-III, C-II, D-IV4) A-III, B-I, C-II, D-IV
1) A-III, B-IV, C-I, D-IV2) A-II, B-IV, C-I, D-II3) A-II, B-III, C-I, D-IV4) A-IV, B-III, C-I, D-I
Choose the correct answer from the options given below:
1) (B) and (C) only.2) (A), (B) and (C) only.3) (B), (C) and (D) only4) (D) only
1) Acetaldehyde2) Propene3) Acetone4) Propanal
1) IV<I<II< III2) III<II<I<IV3) I<IV<III < I4) III<II<I<IV
1) A > B > C2) B>C>A3) B>A>C4) C>B>A
1) B < D < A < C 2) D < A < C < B3) D < A < B < C 4) A < D < C < B
The compound C is1) Phenol2) Benzyl alcohol3) Benzaldehyde4) AnilineDeselect Answer
83. The correct stability order of the following diazonium salt is:1) (A) > (B) > (C) > (D)2) (A) > (C) > (D) > (B)3) (C) > (A) > (D) > (B)4) (C) > (D) > (B) > (A)Deselect Answer
3) CH3 CH2 OH 4) CH3 CH2 ClDeselect Answer
85. One mole of an ideal gas expands isothermally & reversibly at 300 K from 2 L to 20 L. (R = 2 cal·mol⁻¹·K⁻¹). What will be the change in free energy at this same temperature if ΔH = 5 kcal.mol⁻¹?1) – 1376.8 mol⁻¹2) – 1456 kcal.mol⁻¹3) 4.56 kcal.mol⁻¹4) 3.63 kcal.mol⁻¹Deselect Answer
86. Which complex is paramagnetic but inner-orbital ?
1) [Fe(CN)₆]⁴⁻ 2) [CoF₆]³⁻3) [Cr(CN)₆]⁴⁻ 4) [Fe(H₂O)₆]²⁺
87. For a reaction, ΔG° = 20 kJ·mol⁻¹ at 300 K. Which of the following is correct?1) ΔS = 66.66 J mol-1 K-12) Equilibrium constant K < 13) Reaction will never proceed forward.4) ΔH = 0.Deselect Answer
88. The hybridization of central metal ion and shape of Wilkinson’s Catalyst is :1) dsp2 , square planar2) sp3, tetrahedral3) sp3d, trigonal bipyramidal4) d2sp3, octahedralDeselect Answer
1) 16.65 mL2) 5.55 mL3) 22.20 mL 4) 11.10 mL
1) 0.0342) 0.0543) 0.0654) 0.018
BIOLOGY
91. Which of the following statements regarding cancer cells are correct?I. Normal cells show the property of contact inhibition.II. Benign tumors do not cause any damage while malignant tumors cause mass damage to surrounding cellsIII. Malignant tumors show the property of metastasisIV. Proto-oncogenes are cancer causing genes1) I and II 2) I and III3) I, II and III4) I, II, III and IV
92. Lubrication of penis during sexual intercourse is done by the secretions of1) Seminal vesicles2) Prostate glands3) Bulbourethral glands4) All of the above
93. Which of the following disorders show criss-cross pattern of inheritance?1) Haemophilia2) Sickle cell anaemia3) Phenylketonuria4) Thalassemia
94. Select the correct statement from the following1) The distinctive feature of echinoderms is the presence of water canal system2) Sub-phylum vertebrata is further divided into two divisions – Cyclostomata and Gnathostomata3) Phylum annelida are triploblastic, metamerically segmented and acoelomate animals4) The body of phylum Mollusca is covered by a calcareous shell
95. Which of the following organs does not play a role in excretion?1) Lungs 2) Skin3) Thymus4) Liver
96. The most widely used barrier method to prevent contraception is1) Condoms2) Cervical caps3) Spermicidal creams and jellies4) Tubectomy
97. Match the following diseases with their treatment1) I-B, II-C, III-A, IV-E, V-D2) I-B, II-D, III-C, IV-A, V-E3) I-B, II-E, III-C, IV-A, V-D4) I-E, II-A, III-D, IV-B, V-C
98. Observe the given figure of sarcomere and identify the labelled parts1) A – I-band, B – M-line, C – A-band, D – H-zone2) A – A-band, B – Z-line, C – I-band, D – H-zone3) A – light band, B – Z-disc, C – dark band, D – H-line4) A – A band, B – Z-disc, C – I-band, D – H-zone
99. Assertion (A): Relaxation of uterine wall at the end of pregnancy causes expulsion of the baby Reason (R): The stimulatory reflex between the uterine contraction and oxytocin secretion results in weakening contractions1) Both Assertion and Reason are correct and Reason is the correct explanation of Assertion2) Both Assertion and Reason are correct but Reason is not the correct explanation of Assertion3) Assertion is correct but Reason is not correct4) Both Assertion and Reason are not correct
100. Body tissues obtain oxygen from haemoglobin because its dissociation in tissues is caused by1) Low oxygen and carbon dioxide concentration2) High oxygen concentration 3) Low carbon dioxide concentration4) High carbon dioxide concentration
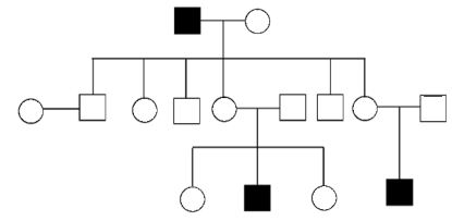
101. Study the pedigree chart of a family showing inheritance pattern of certain disorder. Select the option that correctly identifies the nature of the trait that is depicted in the pedigree chart.1) Autosomal dominant2) X – Linked dominant3) X – Linked recessive4) None of the above
102. Which of the following organisms possess a symmetry in which any plane passing through the central axis of the body divides the organism into two identical halves?1) Fasciola 2) Aplysia3) Physalia4) Sycon
103. Assertion (A): Barrier methods like condoms are helpful in preventing both pregnancy and sexually transmitted diseases. Reason (R): They prevent physical contact between sperm and ovum.1) Both A and R are true and R is the correct explanation of A2) Both A and R are true but R is not the correct explanation of A3) A is true but R is false4) A is false but R is true
104. Mention the names of the hormones responsible for ovarian changes during the menstrual cycle in the boxes provided.1) a – FSH, b – Progesterone, c – LH2) a – FSH, b – LH, c – Progesterone3) a – LH, b – FSH, c – Progesterone4) a – Estrogen, b – Progesterone, c – LH
105. Increase of temperature of blood will1) Reduce the rate of heart beat2) Reduce the blood supply to the brain3) Decrease the affinity of hemoglobin with oxygen4) Release of bicarbonate ions by the liver
106. After maturation in primary lymphoid organs, the lymphocytes migrate for interaction with antigens to secondarylymphoid organ(s)/tissue(s) like:A. Thymus B. Bone marrowC. SpleenD. Lymph nodesE. Peyer’s patchesChoose the correct answer from the options given below:1) A, B, C only 2) E, A, B only3) C, D, E only 4) B, C, D only
107. The non-specific type of defense in the body is1) Innate immunity2) Cell-mediated immunity3) Humoral immunity4) Acquired immunity
108. Angiotensinogen is a plasma protein secreted by1) Juxtaglomerular cells2) Macula densa cells3) Lungs4) Liver
109. Select the correct statement with respect to locomotion in human1) The joint between adjacent vertebrae is a fibrous joint.2) A decreased level of estrogen causes osteoporosis in old people.3) The length of sarcomere remains constant during muscle contraction.4) The vertebral column has six lumbar vertebrae.
110. Select the incorrect statements with respect to cyclostomesA. They lack scales and paired finsB. They have rectangular mouth without jawsC. They bear 6-15 pairs of gillsD. They migrate to deep sea for spawning1) A and D only 2) A and B only3) C and D only 4) B and D only
111. Which of the following regarding human ovum is incorrect?1) A non-cellular structure called zona pellucida is present beneath the vitelline membrane2) The cell is surrounded by a plasma membrane called vitelline membrane3) The corona radiata which covers the cell is made up of follicular cells4) The ovum is spherical in shape
112. The embryo transfer (ET) technique after IVF includes which of the following process?1) ICSI 2) IUT3) GIFT4) AI
113. A male whose father is disease free and mother suffering from haemophilia marries a normal woman. What percentage of their sons will suffer from haemophilia?1) 0%2) 25%3) 50% 4) 100%
114. During mitosis in a eukaryotic cell, several structural and molecular changes occur in a definite sequence. Consider the following statements related to different stages of mitosis:I. The nucleolus disappears completely and chromosomes start becoming visible due to condensation of chromatin fibresII. Chromosomes align at the equatorial plane of the cell due to equal tension exerted by spindle fibres attached to kinetochores.III. Sister chromatids remain attached to each other by centromeres throughout metaphase and separate only after splitting of centromeres.IV. Disc-shaped proteinaceous structures develop on centromeres and serve as attachment sites for spindle fibres.Which of the following options correctly represents the true statements only?1) I, II and IV 2) II, III and IV3) I, III and IV4) I, II, III and IV
115. A cell observed under a microscope shows reappearance of nucleolus, disappearance of spindle fibres and loss of distinct chromosome morphology. Which of the following events must have occurred earlier but not at this stage?1) Maximum condensation of chromosomes2) Splitting of centromeres3) Reformation of nuclear membrane4) Decondensation of chromatin
116. A bacterial culture initially contains 2.5×104 cells per mL. The bacteria divide by binary fission every 30 minutes. However, after 120 minutes, due to nutrient limitation, only 75% of the cells continue to divide, while the rest become dormant. Assuming no cell death, what will be the approximate number of cells per mL after 180 minutes?1) 1.6×1062) 2.0×1063) 2.4×1064) 3.2×106
117. During anaphase of mitosis, chromosomes move towards opposite poles of the cell. This movement is characterized by a specific orientation of chromosome parts due to spindle fibre attachment. In this process, the __________ of each chromosome faces the pole, while the __________ trail behind due to resistance offered by the cytoplasm.1) arms, centromere2) chromatids, centromere3) telomeres, kinetochores4) centromere, arms
118. In a eukaryotic cell, a protein destined for secretion follows a specific pathway. Which of the following correctly represents the sequence of organelles involved?1) SER → RER → Golgi → Lysosome → Plasma membrane2) Golgi → RER → SER → plasma membrane3) RER → Golgi cis-face → trans Golgi → secretory vesicles4) RER → lysosome → Golgi → plasma membrane
119. Consider the following statements regarding mitochondria and chloroplasts:I. Both contain circular DNA and 70S ribosomes.II. Inner mitochondrial membrane is selectively permeable, while chloroplast inner membrane is freely permeable.III. Cristae increase surface area for ATP synthesis, whereas thylakoids house photosynthetic pigments.IV. Both organelles are believed to have evolved from endosymbiotic bacteria.Which option is correct?1) I, III and IV 2) I and II only3) II and IV only4) I, II, III and IV
120. The nucleus of a eukaryotic cell plays a crucial role in cellular regulation. Identify the incorrect statement:1) Nuclear pores regulate exchange of materials between nucleus and cytoplasm2) Nucleolus is the site of rRNA synthesis and ribosome assembly3) Nuclear envelope is continuous with endoplasmic reticulum4) Nuclear matrix is involved only in chromosome segregation during mitosis
121. Members of Kingdom Monera show immense diversity in their structure and metabolism. Consider the following statements regarding bacteria and cyanobacteria:I. All bacteria possess peptidoglycan in their cell wall.II. Cyanobacteria contain chlorophyll a and perform oxygenic photosynthesis.III. Some bacteria survive extreme conditions due to the presence of unusual cell wall structures.IV. Photosynthetic pigments in cyanobacteria are located in membrane-bound chloroplasts.Which of the above statements are correct?1) I and II only 2) II and III only3) I, II and III4) II, III and IV
122. Different groups of fungi show variation in their mode of reproduction and cellular organization. Consider the following statements:I. Members of Phycomycetes are usually coenocytic and aseptate.II. Ascomycetes produce sexual spores called basidiospores.III. Basidiomycetes lack asexual reproduction by conidia.IV. Dikaryotic stage is absent in Basidiomycetes.Select the correct set of statements:1) I and III only 2) II and IV only3) I, II and III4) I, III and IV
123. Kingdom Protista includes diverse unicellular eukaryotes. Which of the following statements is incorrect?1) Euglenoids possess both plant-like and animal-like characteristics2) Dinoflagellates have two flagella placed in grooves perpendicular to each other3) Diatoms possess silica cell walls and are major contributors to marine productivity4) Slime moulds are photosynthetic during their vegetative phase
124. A plant group shows dominant sporophyte, heterospory, and endosporic development of female gametophyte, but seeds are absent. This group is best represented by:1) Bryophytes2) Pteridophytes3) Gymnosperms 4) Angiosperms
125. A botanist discovers a plant with naked ovules, wind pollination, and absence of fruits. Which additional feature is most likely to be present?1) Triploid endosperm2) Double fertilization3) Haploid endosperm4) Presence of vessels in xylem
126. Bryophytes are called the amphibians of the plant kingdom. Consider the following statements:I. Gametophyte is the dominant, photosynthetic phase.II. Sporophyte is completely independent of the gametophyte.III. Fertilization requires water for transfer of male gametes.IV. Vascular tissues are absent in all bryophytes.Which statements are correct?1) I, III and IV2) I and II only3) II and III only4) I, II, III and IV
127. A flower shows the following features on interpretation of its floral diagram:(a) Bracteate and pedicellate flower(b) Actinomorphic and bisexual(c) Calyx of 5 united sepals, persistent(d) Corolla of 5 petals, showing vexillary aestivation(e) Androecium of 10 stamens, arranged (f) Monocarpellary, superior ovary with marginal placentationThe flower most likely belongs to:1) Solanaceae 2) Fabaceae3) Malvaceae 4) Brassicaceae
128. Which of the following pairs is incorrectly matched?1) Tendril of pea — Leaf modification2) Thorn of Bougainvillea — Stem modification3) Pitcher of Nepenthes — Leaf modification4) Storage roots of sweet potato — Stem modification
129. Interpret the following floral diagram description:(a) Flower is epigynous(b) Calyx and corolla are free(c) Androecium consists of 5 stamens, epipetalous(d) Ovary is bicarpellary, syncarpous, inferior(e) Placentation is basal
130. This floral diagram most likely belongs to:1) Solanaceae 2) Brassicaceae3) Asteraceae 4) Fabaceae
131. A plant organ increases in length from 2 cm to 10 cm in 4 days. During this period, the rate of growth was maximum on the second day. Which of the following growth curves best represents this pattern?1) Linear growth curve2) Exponential growth curve3) Sigmoid (S-shaped) growth curve4) Stepped growth curve
132. Two plants A and B show the following increase in height over 10 days:(a) Plant A: 2 cm → 6 cm(b) Plant B: 10 cm → 18 cmWhich conclusion is correct?1) Absolute growth rate is higher in plant A2) Absolute growth rate is higher in plant B3) Relative growth rate is same in both4) Relative growth rate is higher in plant B
133. A plant shows delayed senescence, enhanced lateral bud growth, and nutrient mobilization towards young leaves. Which hormone is most likely responsible?1) Auxin2) Gibberellin3) Cytokinin 4) Abscisic acid
134. Application of which hormone combination would most effectively promote lateral root initiation in a young seedling?1) Auxin + cytokinin2) Auxin + gibberellin3) Cytokinin + gibberellins4) Auxin + ethylene
135. In an ecosystem, species A benefits, species B is unaffected. Species C is harmed due to species A’s presence. The interaction between A and B, and A and C respectively is:1) Mutualism; Predation2) Commensalism; Amensalism3) Protocooperation; Parasitism4) Commensalism; Predation
136. Introduction of an alien fish species into a freshwater lake leads to extinction of native fish within a few years. The most likely reason is:1) Lack of predators for alien species2) Higher mutation rate in alien species3) Occupation of an empty ecological niche4) Lower carrying capacity of the lake
137. Bacillus thuringiensis is widely used in biotechnology for developing insectresistant crops. Consider the following statements:I. Bacillus thuringiensis produces crystal (Cry) proteins.II. Cry proteins are protoxins that become active only in the acidic gut of insects.III. The activated toxin binds to epithelial cells of insect foregut and creates pores.IV. Bt toxin genes introduced into plants produce resistance against specific insect pests only.Which of the following options is correct?1) I, II, III and IV 2) I, III and IV3) II and III 4) I and IV
138. With reference to RNAi technology, consider the following statements:I. RNA interference involves silencing of a specific gene at the mRNA level.II. Double-stranded RNA (dsRNA) is the key molecule that initiates RNAi.III. RNAi technology has been used to develop nematode-resistant tobacco plants.IV. The nematode Meloidogyne incognita infects roots of tobacco plants.V. RNAi is effective because both sense and antisense RNA strands are produced.Which of the following options is correct?1) I, II, III, IV and V2) I, II, III and IV3) II, III, IV and V4) I, II, IV and V
139. Shelf life of Flavr Savr tomato is increased mainly due to1) Reduced ethylene synthesis2) Increased photosynthesis3) Reduced pectin degradation4) Increased water content
140. Which of the following statements about ABO blood group system are correct?I. Blood group O has no antigens on RBC surfaceII. Blood group AB has both anti-A and anti-B antibodiesIII. ABO blood group is controlled by three allelesIV. Antigens are proteins and antibodies are carbohydrates1) II and IV 2) I and III3) I, II and III4) I, III and IV
141. Assertion (A): Second heart sound is produced due to closure of semilunar valves. Reason (R): It marks the beginning of ventricular systole.1) Both A and R are true, R explains A2) Both A and R are true, R does not explain A3) A is true, R is false4) A is false, R is true
142. If heart rate is 72/min and stroke volume is 70 mL, cardiac output will be:1) 3.5 L/min 2) 4.2 L/min3) 5.0 L/min 4) 7.0 L/min
143. Identify the correct statements about lymph:I. Lymph contains plasma proteins in lower concentrationII. Lymphocytes are present in lymphIII. Lymph helps in absorption of fatsIV. Lymph contains RBCs1) I, II and III2) II and IV3) I and IV4) I, II, III and IV
144. A person is unable to regulate body temperature and feels excessive hunger. The damaged part of brain is:1) Cerebrum 2) Thalamus 3) Pons 4) Hypothalamus
145. Assertion (A): Cerebellum damage leads to loss of posture and balance Reason (R): Cerebellum integrates sensory perception and motor control.1) Both A and R are true, R explains A 2) Both A and R are true, but R does not explain A 3) A is true, R is false4) A is false, R is true
146. Which of the following statements about frog morphology is incorrect?1) Frog skin is moist and richly supplied with glands2) Cloacal aperture opens on the ventral side of the body3) Tympanum represents the external ear4) Hind limbs are longer and muscular compared to forelimbs
147. Assertion (A): Diabetes mellitus is characterized by hyperglycemia. Reason (R): Insulin deficiency reduces glucose uptake by cells.1) Both A and R are true and R is the correct explanation of A2) Both A and R are true but R is not the correct explanation of A3) A is true but R is false4) A is false but R is true
148. Regarding structure and function of neurons, consider the following statements:1) Dendrites conduct impulses towards the cell body.2) Axon hillock is the usual site of action potential generation.3) Myelin sheath is produced by Schwann cells in PNS4) Nodes of Ranvier increase the speed of impulse conduction.Which of the above statements are correct?1) I and II only 2) I, II and IV only3) II, III and IV only 4) I, II, III and IV
149. Match the following:1) a-3, b-4, c-2, d-32) a-3, b-1, c-4, d-23) a-1, b-3, c-2, d-44) a-4, b-2, c-3, d-1
150. Assertion (A): Cardiac muscle fibres are branched and interconnected. Reason (R): Presence of intercalated discs allows rapid spread of impulses.1) Both A and R are true and R explains A2) Both A and R are true but R does not explain A3) A is true, R is false4) A is false, R is true
151. Which of the following statements correctly explains multiple allelism?1) A gene having more than two alleles in a zygote2) A gene having more than two alleles in a population3) Presence of both dominant and recessive alleles4) A gene showing incomplete dominance
152. A pea plant with yellow seeds is crossed with a plant having green seeds. The progeny shows all yellow seeds. The genotype of the yellow-seeded parent is:1) Either YY or Yy 2) Yy3) Yy4) YY
153. Which statement is correct?1) Back cross is always with recessive parent2) Test cross is always with homozygous dominant parent3) All test crosses are back crosses4) All back crosses are test crosses
154. In a population, the frequency of allele A is 0.7 and a is 0.3. After a few generations, it is observed that homozygous recessive individuals are decreasing rapidly. Which of the following is/are correct?I. The population is not in Hardy– Weinberg equilibriumII. Natural selection is acting against the recessive genotypeIII. Gene flow must be the cause of changeIV. Allele frequencies will change over generations.1) I and II only2) II and IV only3) I, II and IV 4) I, II, III and IV
155. Assertion (A): Gene flow can cause evolution even in the absence of natural selection. Reason (R): Migration of individuals can alter allele frequencies of a population. 1) Both A and R are true, R explains A2) Both A and R are true, R does not explain A3) A is true, R is false4) A is false, R is true
156. Which of the following best supports adaptive radiation?1) Homologous structures in mammals2) Analogous wings of insects and birds3) Evolution of marsupials in Australia4) Industrial melanism
157. If the number of DNA molecules at the start of PCR is 1, how many DNA molecules will be present after 5 cycles, assuming 100% efficiency?1) 16 2) 323) 644) 128
158. Which of the following statements are correct?i. ampᴿ gene provides resistance against ampicillinii. tetᴿ gene can be inactivated by insertion of foreign DNAiii. pBR322 was constructed by Herbert Boyeriv. ori is responsible for replication and copy number control1) i, ii, iii and iv2) i, iii and iv3) ii, iii and iv4) i, ii and iv
159. A biomolecule is composed of repeating units joined by covalent bonds. The molecule shows 1,4 glycosidic linkages, is stored in plants, and gives blue colour with iodine.Which of the following statements regarding this biomolecule are correct?I. It is a homopolysaccharideII. It is a reducing sugarIII. It has helical structureIV. It serves as an immediate source of energy1) I and III 2) I, II and III3) I, III and IV 4) II and IV
160. During protein denaturation, changes occur in the organisation of the polypeptide chain without breaking peptide bonds.Which of the following levels of protein structure are affected?I. Primary structure II. Secondary structureIII. Tertiary structureIV. Quaternary structure1) II only 2) II and III only3) II, III and IV 4) I, II, III and IV
161. Which of the following statements are correct?I. Each nucleotide contains a pentose sugarII. RNA contains thymineIII. Phosphodiester bonds link nucleotidesIV. Nitrogenous bases are linked to sugar by glycosidic bond1) I, III and IV 2) I and II only3) II and III only 4) I, II, III and IV
162. The structure of DNA is stabilised by multiple interactions.Which of the following contribute to DNA stability?I. Hydrogen bonding between complementary basesII. Phosphodiester bonds in backboneIII. Hydrophobic interactions between basesIV. Peptide bonds1) I and II only 2) I, II and III3) II and IV only 4) I, III and IV
163. Which of the following cannot be correctly associated with the same biomolecule?1. β-1,4 linkage – Structural role2. Homopolymer – Repeating monomer3. Helical structure – Iodine test positive4. Reducing sugar – Non-reducing disaccharide
164. Which of the following pairs represent the same type of bond but in different biomolecules?1) Peptide bond – Phosphodiester bond2) Glycosidic bond – Ester bond3) Hydrogen bond in DNA – Hydrogen bond in protein secondary structure4) Disulphide bond – Ionic bond
165. If the active site of an enzyme is altered slightly, the most immediate effect will be on:1) Reaction equilibrium2) Activation energy3) Substrate specificity4) Product stability
166. Which option correctly represents the direction of synthesis of nucleic acid and protein, respectively?1) DNA 5′→3′; Protein N→C2) DNA 3′→5′; Protein C→N3) DNA 5′→3′; Protein C→N4) DNA 3′→5′; Protein N→C
167. Which of the following enzymes is NOT directly involved in DNA replication?1) DNA-dependent DNA polymerase2) DNA ligase3) RNA polymerase4) Helicase
168. Which option correctly matches the RNA polymerase and its function in eukaryotes?1) RNA pol I – tRNA synthesis2) RNA pol II – mRNA synthesis3) RNA pol III – rRNA synthesis4) RNA pol I – hnRNA synthesis
169. A mutation changes the codon UAU → UAA in an mRNA sequence. The most likely consequence of this mutation is:1) Incorporation of a different amino acid2) Elongation of polypeptide chain3) Premature termination of translation4) No change in protein structure
170. In lac operon, the operator gene is best described as:1) A gene coding for β-galactosidase2) A DNA sequence where RNA polymerase binds3) A regulatory sequence where repressor binds4) A gene coding for repressor protein
171. If the promoter region of lac operon is mutated such that RNA polymerase cannot bind, then:1) Repressor cannot bind operator2) Structural genes will never be transcribed3) Inducer will activate transcription4) CAP–cAMP complex will restore transcription
172. Which of the following correctly explains why lagging strand synthesis is discontinuous?1) DNA polymerase cannot work without ligase2) DNA polymerase can synthesise only in 5′→3′ direction3) Helicase opens DNA only in one direction4) Primase functions intermittently
173. A mutation in the TATA box of a eukaryotic gene will most directly affect:1) Termination of transcription2) Binding of transcription factors3) Polyadenylation of mRNA4) Splicing of introns
174. The following coding strand of a gene is given:5′- ATG GCT TTT ACC GAA GGA TGA CCT -3′A deletion occurs at nucleotide position 5 (from the 5′ end).1) Which of the following outcomes is MOST accurate?2) Only the second amino acid is altered3) Reading frame is shifted from the second codon onward4) A premature stop codon appears immediately5) No effect due to degeneracy of code
175. A gene normally produces a polypeptide of 240 amino acids.A mutation deletes two nucleotides at positions 718 and 719. Which statement is correct?1) Exactly one amino acid will be deleted2) Frameshift occurs affecting only last amino acid3) Frameshift occurs affecting downstream sequence4) No effect because deletion is near 3′ end
176. Consider a gene with the following mRNA sequence:5′- AUG UCU GGC AAA UAU GAA UAG GCU -3′Two separate mutations occur:• Mutation I: Insertion of one nucleotide between positions 4 and 5•Mutation II: Deletion of three nucleotides at positions 19–21Which option correctly describes the final polypeptide?1) Only one amino acid altered2) Frameshift occurs then reading frame restored later3) Early termination without frameshift4) No change in protein length
177. During aerobic respiration, which pair of events occurs in the same cellular compartment?1) Glycolysis and Krebs cycle2) Krebs cycle and ETS3) Glycolysis and fermentation4) Link reaction and glycolysis
178. Which of the following steps is irreversible under cellular conditions?1) Glucose → Glucose-6-phosphate2) Fructose-6-phosphate → Fructose1,6-bisphosphate3) Phosphoenolpyruvate → Pyruvate4) All of the above
179. Which of the following processes occurs in cytosol but is indirectly dependent on mitochondria?1) Glycolysis2) Fermentation3) Krebs cycle4) ETS
180. A plant cell is supplied with glucose under aerobic conditions. Oxygen is present, but the activity of cytochrome oxidase is suddenly inhibited.Which sequence of effects is MOST likely?1) Glycolysis stops → Krebs cycle continues → NADH decreases2) ETS stops → NADH accumulates → Krebs cycle slows down3) Fermentation stops → ATP synthesis increases4) Link reaction accelerates → CO₂ production increases