Written by
in
Welcome to your NEET REVISION TEST 7 (18.02.2026)
PHYSICS
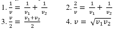
1. 1:12. 1:23. 1:44. 4:1
1. 0 m/s2. 200 m/s3. 150 m/s4. 100 √2 m/s
1. (a)-(ii), (b)- (iv), (c)-(i), (d)-(iii)2. (a)-(iv),(b)-(ii), (c)-(i), (d)-(iii)3. (a)-(iv),(b)-(ii), (c)-(iii), (d)-(i)4. (a) -(ii),(b)-(iii), (c)-(iv), (d)-(i)
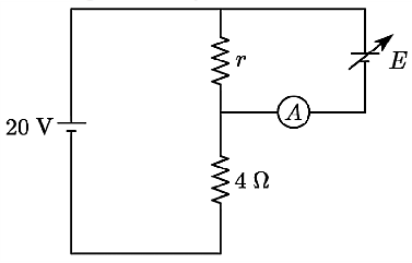
1.1.4% 2. 1.2%3. 1.3% 4. 1.6%
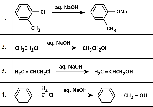
1. (B) and (C) only2. (B) and (D) only3. (A) and (C) only 4. (A) and (B) only
1. ↑2. ↓3. →4. ←
CHEMISTRY
1. 3/5 2. 1/53. 5/34. 5
a b c d1. r p q s2. q s p r3. r s q p4. s q p r
61. (1) R(2) S(3) R, S both(4) None of these
Deselect Answer
The final product [C] is:
1. Z < Y < X2. X < Z < Y3. X < Y < Z4. Y < X < Z
72. the missing reagent is :-1. CF3 CO3H 2. H2 SO43. LAH 4. NaBH4
1. Zero2. One3. Two 4. Three
1. 85 mm Hg 2. 95 mm Hg3. 90 mm Hg 4. 92 mm Hg
119. What role do macrophages play in the life cycle of HIV?
120. Study the given figure and select the correct statements:Statement I: The flower is epigynousStatement II: Such a flower is seen in rose, plum and peachStatement III: The position of ovary will be described as superior1. Statement I is correct; Statement II is incorrect; Statement III is correct2. Statement I is incorrect; Statement II is correct; Statement III is correct3. Statement I is correct; Statement II is correct; Statement III is incorrect4. Statement I is incorrect; Statement II is incorrect; Statement III is correctDeselect Answer
121. Residual volume in lungs:I: Prevents Lung CollapseII: Facilitates Gas Exchange1. Only I is correct2. Only II is correct3. Both I and II are correct4. Both I and II are incorrectDeselect Answer
122. Which of the following is incorrect regarding emphysema?1. Alveolar walls are damaged2. There is an increase in the respiratory surface3. Major cause is cigarette smoking4. Can be caused by deficiency of Alpha-1- antitrypsin enzymeDeselect Answer
123. Consider the given two statements:Statement I: With few exceptions, in animals, mitotic cell division is generally only seen in the diploid somatic cells.Statement II: The plants can show mitotic divisions in both haploid and diploid cells.1. Statement I is incorrect; Statement II is incorrect2. Statement I is correct; Statement II is incorrect3. Statement I is incorrect; Statement II is correct4. Statement I is correct; Statement II is correctDeselect Answer