Written by
in
Welcome to your NEET REVISION TEST VI (11.02.2026)
PHYSICS
Deselect Answer
6. In an AC circuit, the voltage and current are given by:V = 100sin(100t) volts &I = 100sin (100t + π/3) milliamperes (mA)The average power dissipated per cycle in the circuit is:1. 104 watts 2. 10 watts3. 2.5 watts4. 5 wattsDeselect Answer
1. 3.8 2. 83. 7.84. 2.8
34. Which of the following statements is true about the velocity of a pendulum bob at its lowest point?1. It increases as the mass of the bob increases.2. It decreases as the initial displacement angle increases.3. It increases as the cord length increases, given the same initial displacement angle of the pendulum.4. It decreases as the cord length increases, given the same initial displacement angle of the pendulum.Deselect Answer
CHEMISTRY
The value of a will be:
1. -22. -1 3. 14. 2
(1) Ph-O-SO2 OMe(2) PhOMe(3) PhOSO₂OPh(4) PhMe
66. Among the following pairs of complexes, in which case is the ∆0 value higher for the first species:Deselect Answer
67. Sulphuric acid reacts with sodium hydroxide as followsH2 SO4+2NaOH →Na2 S04+2H2O
68. In a typical fuel cell, the reactants (R) and product (P) are:1. R = H2(g) , O2(g) ; P = H2 O2(g)2. R = H2(g) , O2(g) ; P = H2 O2(l)3. R = H2(g) , O2(g) ; Cl2(g) ; P = H2 O2(g)4. R = H2(g) , N2(g) ; P = NH3 (aq)Deselect Answer
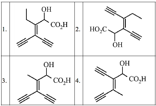
69. The correct structure of 3-ethynyl-2-hydroxy-4-methylhex-3-en-5-ynoic acid among the following is:Deselect Answer
70. A 100 ml. water sample from a polluted lake contains 21.2 mg of Arsenic (As). The concentration of arsenic in ppm in the lake is: (Given: Density of water=1g /mL)1. 212000 ppm2. 212 ppm3. 2120 ppm 4. 21.2 ppmDeselect Answer
71. Which of the following expression is correct for the reaction given below?2HI(g) → H2(g) + I2(g)Deselect Answer
72. The molecular shapes of SF4, CF4, and XeF4 are:1. Different with 1, 0, and 2 lone pairs of electrons on the central atom, respectively2. Different with 0, 1, and 2 lone pairs of electrons on the central atom, respectively3. The same with 1, 1, and 1 lone pair of electrons on the central atoms, respectively4. The same with 2, 0, and 1 lone pair of electrons on the central atom, respectivelyDeselect Answer
(a) (b) (c) (d)1. (ii) (iii) (iv) (i)2. (iii) (iv) (i) (ii)3. (iv) (i) (ii) (iii)4. (iii) (i) (iv) (ii)
[X] will be:
(A) (B) (C) (D)1. (IV) (III) (I) (II)2. (II) (IV) (III) (I)3. (III) (I) (IV) (II)4. (III) (IV) (II) (I)
1. None2. Only I and II3. I, II and III4. Only III