Written by
in
Welcome to your NEET REVISION TEST XIV (18.03.2026)
PHYSICS
2. An isolated system-1. is a specified region where transfer of energy and mass takes place2. is a region of constant mass and only energy is allowed through the closed boundaries3. is one in which mass within the system is not necessarily constant.4. cannot transfer neither energy nor mass to or from the surroundings.Deselect Answer
1. 90°2. 120°3. 0°4. 180°
1. 0.31 Å2. 0.41 Å3. 0.5 Å 4.0.16 Å
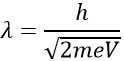
Using h=6.63×10-34Js, m=9.11×10-31 kg, and e=1.60× 10-19 C, the wavelength of the electron is obtained as 1.0016 × 10-11 mThe correct wavelength with regards to significant figures is1. 1.002×10-11 m2. 1.0×10-11 m3. 1.0016×10-11 m 4. 1.00×10-11 m
CHEMISTRY
46. The vapour pressure of a pure liquid A is 40 mm of Hg at 300 K. The vapour pressure of this liquid in solution with liquid B is 32 mm of Hg. The mole fraction of A in solution obeying Raoult’s law is
1. 0.62. 0.53. 0.24. 0.8
1. σ*2pz2. π*2px3. π*2py4. π2px
70. Rutherford scatterring experiment is based on:1. Alpha particle scaterring from Gold2. Beta particle scaterring from Gold3. Gamma particle scaterring from Gold4. A and B
1. +ve slope and zero intercept2. -ve slope and zero intercept3. +ve slope and non- zero intercept4. -ve slope and non-zero intercept
87. Deselect Answer
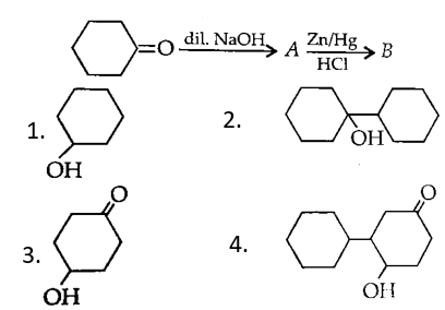
88. Identify ‘X’ and ‘Y’ in the following conversion:1. CH3CH2NH2, CH3CH2=NOH2. CH3CH2=NOH, CH3CH2NH2,3. CH3CH2 CH2NH2, CH3CH2CH2=NOH4. CH3CH2CH2=NOH, CH3CH2 CH2NH2Deselect Answer
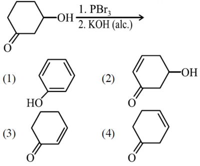
89. The suitable reaction steps to carry out the following transformation areDeselect Answer
90. Identify the major product of the compound A, B and C. Choose the correct sequence?1. But- 1-ene, But- 1-ene, 1- bromo Butane2. But-2-ene, But- 1-ene , 2- bromo Butane3. But- 1-ene, Butanol , 1, 2 dibromo butane4. But-2-ene, butan-2-ol , 1- bromo butaneDeselect Answer
BIOLOGY
92. Which restriction enzyme produces blunt ends?1. EcoRI2. HindIII3. AluI4. BamHDeselect Answer
93. The correct order of steps in recombinant DNA technology is:1. Isolation → Amplification → Cutting → Ligation → Transformation2. Isolation → Cutting → Amplification → Ligation → Transformation3. Cutting → Isolation → Amplification → Ligation → Transformation4. Isolation → Ligation → Cutting → Amplification → TransformationDeselect Answer
94. Assertion (A): Restriction enzymes belong to a larger class of enzymes called nucleases. Reason (R): Nucleases hydrolyse the phosphodiester bonds between nucleotides of nucleic acids.1. Both A and R are true and R explains A2. Both A and R are true but R does not explain A3. A is true but R is false4. A is false but R is trueDeselect Answer
95. Consider the given statements.Statement 1: Insertional inactivation helps identify recombinant colonies.Statement 2: Insertion of foreign DNA disrupts a functional gene in the vector.1. Both Statement 1 and 2 are correct2. Statement 1 is incorrect and Statement 2 is correct3. Both Statement 1 and 2 are incorrect4. Statement 1 is correct but Statement 2 is incorrectDeselect Answer
96. Select the incorrect statement/s.Statement 1: The phenotypic ratio of a monohybrid cross is 3:1 in F₂ generation.Statement 2: Alleles do not segregate during gamete formation according to Mendel’s law of segregation.Statement 3: Mendel’s law of segregation is also known as First law of inheritance.1. 1 and 22. 2 and 33. Only 14. 1 and 3Deselect Answer
97. The diagnostic test for blood cancer leukemia is1. Radiography2. Bone marrow test3. Histopathological study4. MRIDeselect Answer
98. Read the following statements and select the correct one1. Hormones such as cortisol and prolactin are produced in women only during pregnancy2. The placenta induced mild uterine contraction called foetal ejection reflex during the initial stages of third trimester3. The embryo will develop its heart after one month of pregnancy4. Immediately after implantation, the inner cell mass will differentiate into three germ layers – ectoderm, mesoderm and endodermDeselect Answer