Written by
in
Welcome to your NEET REVISION TEST XV (21.03.2026)
PHYSICS
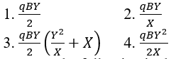
1. 1.8375 × 1019 N 2. 1.8375 × 1020 N3. 1.8375 × 1025 N 4. 1.8375 × 1026 N
CHEMISTRY