Written by
in
Welcome to your NEET REVISION TEST XII (11.03.2026)
PHYSICS
1. In two different experiments, an object of mass 5 kg moving with a speed of 25 ms-1 hits two different walls and comes to rest within (i) 3 s, and (ii) 5 s, respectively.Choose the correct option from the following:1. Impulse and average force acting on the object will be the same for both the cases.2. Impulse will be the same for both the cases but the average force will be different.3. The average force will be the same for both the cases but the impulse will be different.4. Average force and impulse will be different for both the cases.
2. A remote sensing satellite of the earth revolves in a circular orbit at a height of 0.25 × 106 m above the surface of the earth. If Earth’s radius is 6.38 × 106 and g = 9.8 ms-2, then the orbital speed of the satellite is:1. 7.76 kms-1 2. 8.56 kms-13. 9. kms-1 4. 6.67 kms-1Deselect Answer
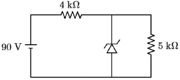
22. Consider the logic circuit represented in the above diagram. Assume that all the elements used are ideal. In which case is the overall output independent of C1. A False2. B-Truc3. B-False4. The output (X) always depends on C
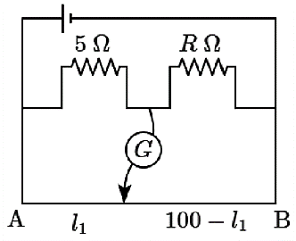
1. 10 Ω 2. 15 Ω3. 20 Ω4. 25 Ω
CHEMISTRY
Deselect Answer
59. Given below are two statements:Assertion (A): Glycine must be taken through diet.Reason (R): It is an essential amino acid.1. Both (A) and (R) are True and (R) is the correct explanation of (A).2. Both (A) and (R) are True but (R) is not the correct explanation of (A).3. (A) is True but (R) is False.4. Both (A) and (R) are False.Deselect Answer
60. In a polar protic solvent, what is the correct order of nucleophilicity for the following halide ions?1. F– >Cl– >Br–>I–2. Cl– > F– > Br– > I–3. I–> Br–> Cl– >F–4. I–>Cl– >Br– > F–Deselect Answer
61. Match List I (hybridization) with List II (molecules):Choose the correct answer from the options given below:1. A-(II); B-(III);C-(IV);D-(I)2. А-(III);В-(II); C-(I);D-(IV)3. А-(III);В-(II); C-(IV);D-(I)4. A-(II); B-(III);C-(I);D-(IV)Deselect Answer
1. 1/42. 1/23. 1/34. 1/1
73. A hydrocarbon has a mass ratio of carbon to hydrogen of 6:2. What is the empirical formula of this hydrocarbon?1. CH2. CH23. CH3 4. CH4Deselect Answer
1. 1 only2. 1 and H only3. I and III only 4. 1. II, and III
126. Unmyelinated nerve fibre:I: is enclosed by a Schwann cell that does not form amyelin sheath around the axonII: is commonly found in autonomous and the somatic neural systems1. Only I 2. Only II3. Both I and II 4. Neither I nor II
127. What leads to the unmasking of active sites on actin filament for myosin filaments during muscle contraction?1. Release of acetylcholine by the anterior motor neuron at the neuromuscular junction.2. Binding of calcium with a subunit of troponin3. Binding of ATP on the myosin head4. Binding of acetylcholine to its receptor on the sarcolemma
128. Consider the given two statements:Assertion (A): Growth, at the cellular level, is measured by a variety of parameters, some of which are: increase in fresh weight, dry weight, length, area, volume and cell number.Reason (R): Growth, at a cellular level, is principallya consequence of an increase in the amount of protoplasm, and increase in protoplasm is difficult to measure directly.1. Both (A) and (R) are True and (R) correctly explains(A).2. Both (A) and (R) are True but (R) does not correctly explain (A).3. (A) is True; (R) is False.4. (A) is False; (R) is True.
129. Consider the given two statements:Statement I: A typical angiosperm anther is bilobedwith each lobe having two theca, i.e., they are dithecous.Statement II: The anther is a four-sided (tetragonal)structure consisting of four microsporangia located at the corners, two in each lobe.1. Statement I is correct; Statement II is correct2. Statement I is incorrect; Statement II is correct3. Statement I is correct; Statement II is incorrect4. Statement I is incorrect; Statement II is incorrect
130. The number of correct statements from the given statements regarding cell division in human somatic cells will be:I: The M Phase represents the phase when the actual cell division or mitosis occurs.II: The interphase represents the phase between two successive M phases.III: The interphase lasts more than 95% of the duration of cell cycle.IV: During interphase, the cell is metabolically not active.1. 12. 23. 34. 4
131. Adaptive radiation is best described by which of the following statements?1. It is the rapid evolution of morphologically and ecologically similar species across different geographical areas.2. It is the process by which a single species evolves in to several different forms that live in different ways.3. It involves the convergence of different species towards a similar set of traits.4. It is the exchange of genetic material between different species leading to hybrid forms.
132. Consider the given two statements:Assertion(A): Apical meristems and intercalary meristems are primary meristerms.Reason (R): They appear early in life of a plant andcontribute to the formation of the primary plant body.1. Both (A) and (R) are True and (R) correctly explains (A).2. Both (A) and (R) are True but (R) does not correctly explain (A)3. (A) is True; (R) is False4. Both (A) and (R) are False
133. Match each item in Column I with one in Column II and select the correct match from the codes given:Codes: A B C D1. P R Q S2. R P S Q3. P R S Q4. R P Q S
134. Calvin cycle is described under three stages –I: Carboxylation; II: Reduction and III: Regeneration. ATP is required during stage/s:1. Only I 2. Only I and III3. Only II and III 4. Only IV
135. Ribosomes:1. are 70 S in prokaryotes having two subunits 30 S and 40 S.2. are bound by a single membrane only in eukaryotes.3. are composed of RNA and proteins.4. are sites of protein synthesis in eukaryotes but not in prokaryotes.
136. Which of the following statements correctly compares the Grazing Food Chain (GFC) and the Detritus Food Chain (DFC)?1. In an aquatic ecosystem, the Grazing Food Chain (GFC) is the major conduit for energy flow, while in a terrestrial ecosystem, a much larger fraction of energy flows through the Detritus Food Chain (DFC).2. In all ecosystems, energy flows mainly through the Grazing Food Chain, as decomposers play a minimal role in energy transfer.3. The Detritus Food Chain dominates in aquatic ecosystems, while the Grazing Food Chain is dominant in terrestrial ecosystems.4. Energy transfer through the Detritus Food Chain is always more efficient than in the Grazing Food Chain.
137. The colour/s of visible light that work/s least well for photosynthesis is/are:1. Red and Blue2. Violet and Yellow3. Green4. Yellow
138. What is the key function of copper-releasing IUDs like Cu-T?1. Preventing fertilization by suppressing sperm motility2. Blocking ovulation3. Altering the hormonal environment to prevent implantation4. Physically blocking the cervix
139. Biflagellate zoospores that are pear-shaped and have two unequal laterally attached flagella are involved in:1. Asexual reproduction in brown algae2. Asexual reproduction in red algae3. Sexual reproduction in brown algae4. Sexual reproduction in red algae
140. The left atrium of the human heart:1. receives deoxygenated blood from the body through superior and inferior vena cavae2. receives oxygenated blood from the body through superior and inferior vena cavae3. receives deoxygenated blood from the body through pulmonary veins4. receives oxygenated blood from the body through pulmonary veins
141. What would be a normal finding on semen analysis of a normal fertile male?I: A count of 10 million sperms per ml of semenII: 60 percent sperms have normal shape and sizeIII: 40 percent sperms show vigorous motility1. Only II 2. Only I and II3. Only II and III4. I, II and III
142. Match List-I with List-II:Choose the correct answer from the options given below: a b c d1. (ii) (iii) (i) (iv)2. (iii) (i) (iv) (ii)3. (ii) (i) (iv) (iii)4. (iii) (iv) (ii) (i)
143. What is the primary mode of action of intrauterine copper contraceptives (CuT) in preventing pregnancy?1. They release hormones to suppress ovulation.2. They create a physical barrier to sperm entry.3. They release copper ions that suppress sperm motility and fertilization.4. They prevent implantation by thickening cervical mucus.
144. What is the modern definition of hormones?1. Nutrient chemicals produced by endocrine glands.2. Non-nutrient chemicals that act as intercellular messengers produced in large amounts.3. Non-nutrient chemicals that act as intercellular messengers produced in trace amounts.4. Nutrient chemicals that regulate the body’s metabolism.
145. Match the following columns and select the correct option. a b c d1. (iii) (ii) (i) (iv)2. (ii) (iii) (iv) (i)3. (i) (ii) (iii) (iv)4. (iv) (i) (ii) (iii)
146. Match the following joints with the bones involved:Select the correct option from the following: (a) (b) (c) (d)1. (iii) (iv) (ii) (i)2. (iv) (i) (ii) (iii)3. (iv) (ii) (iii) (i)4. (i) (iii) (ii) (iv)
147. Consider the given two statements:Assertion (A): Methanobacterium is commonly found in the rumen of cattle and is essential for the breakdown of cellulose in their diet.Reason (R): Methanobacterium is an aerobic bacterium that produces methane gas during cellulose breakdown.1. Both (A) and (R) are True and (R) is the correct explanation of (A).2. Both (A) and (R) are True but (R) is not the correct explanation of (A).3. (A) is True but (R) is False.4. Both (A) and (R) are False.
148. Consider the given two statements:Assertion (A): Menstruation occurs due to the breakdown of the endometrial lining of the uterus and its blood vessels.Reason (R): The degeneration of the corpus luteum leads to a drop in estrogen levels, causing disintegration of the endometrium1. Both (A) and (R) are True and (R) is the correct explanation of (A).2. Both (A) and (R) are True but (R) is not the correct explanation of (A).3. (A) is True but (R) is False.4. (A) is False but (R) is True.
149. The type of biochemical reaction shown in the given figure is catalysed by enzymes classified as:1. Ligases2. Lyases3. Hydrolases 4. Transferases
150. The correct order of steps in Polymerase Chain Reaction (PCR) is:1. Extension, Denaturation, Annealing2. Annealing, Extension, Denaturation3. Denaturation, Extension, Annealing4. Denaturation, Annealing, Extension
151. Match the following major plasma proteins with their functions:Options:1. 1-B, 2-A, 3-C 2. 1-A, 2-B, 3-C3. 1-C, 2-A, 3-B4. 1-B, 2-C, 3-A
152. Both carbon dioxide and NADH+ H+ are released during:I: glycolysisII: Krebs cycleIII: electron transport systemIV: transition [Link] reaction1. Only II 2. Both I and III3. Only II and IV4. Only III
153. Identify the incorrectly matched pair:1. Pneumatophores Rhizophora2. Leaf tendrils Gourds3. Stilt roots Maize4. Palmately compound leaves Silk cotton
154. The solubility of in water is how many times higher than that of?1. 10-15 times 2. 5-10 times3. 20-25 times4. 2-5 times
155. Which of the following options most accurately describes algae in general?1. Algae are chlorophyll-bearing, thalloid, autotrophic and largely aquatic (both fresh water and marine) organisms.2. Algae are chlorophyll-bearing, having highly differentiated body, autotrophic and exclusively found in fresh water organisms.3. Algae are chlorophyll-bearing or parasitic heterotrophic organisms, thalloid and largely marine organisms.4. Algae are chlorophyll-lacking, thalloid, autotrophic and largely saprophytic organisms found in both fresh and marine waters.
156. Consider the given two statements:I: In competitive enzyme inhibition, the substrate and inhibitor cannot bind to the enzyme at the same time.II: The inhibitor always has a much higher affinity for the active site than the normal substrate.1. Both I and II are correct and II explains I2. Both I and II are correct but II does not explain I3. I is correct but II is incorrect4. I is incorrect but II is correct
157. Identify the incorrect statement:1. CDRI, located at Lucknow, has developed ‘Saheli’ – a non-steroidal oral contraceptive pill2. Amniocentesis is statutorily banned in India for Pre Natal Sex Determination3. An ideal contraceptive should both be effective and reversible4. Increasing birth rate is the main cause of the increase in the population of India today
158. All the following will be true regarding the molecular evidence for evolution except:1. related organisms share a greater portion of their DNAs2. the hemoglobin gene is less similar between humans and dogs than between humans and chimpanzees3. only DNA can be examined for establishing evolutionary differences4. phylogenetic trees can be established using molecular evidence
159. In Dorsiventral (Dicotyledonous) Leaf:I: The adaxial epidermis generally bears more stomata than the abaxial epidermis.II: Mesophyll has two types of cells – the palisade parenchyma and the spongy parenchyma.1. I is correct; II is correct2. I is incorrect; II is correct3. I is incorrect; II is incorrect4. I is correct; II is incorrect
160. Which statement about phyllotaxy is true?1. It refers to the arrangement of leaves on the stem.2. It is the study of floral patterns in angiosperms.3. Alternate phyllotaxy is seen in Alstonia.4. The phyllotaxy pattern is not related to sunlight exposure.
161. What features shown in the given figure can be used to justify that the floral diagram belongs to members of Brassicaceae?I: The flower is four petaled.II: The flower has six stamens, two outer and four inner.1. Only I2. Only II3. Both I and II4. Neither I nor II
162. The number of times the Krebs cycle turns per glucose molecule will be:1. 12. 23. 34. 6
163. A female is a “carrier” for the trait red color blindness [remember this trait is X-linked and colour blindness is sex-linked recessive condition], marries a normal male. What proportion of their female progeny will be affected by the disorder? 1. 3/42. 1/23. 1/44. 0
164. How many of the given statements are correct?I: The vertebral column is composed of 26 vertebrae.II: The first cervical vertebra is called the atlas.III: The sternum is part of the appendicular skeleton.IV: The pelvic girdle consists of two coxal bones.V: The humerus is the bone of the upper arm.1. 22. 33. 44. 5
165. During concentration of urine by the human kidneys, an increasing osmolarity towards the medullary inner medullary interstitium is mainly caused by:
166. Which of the following mechanisms is primarily responsible for the concentration of urine in the kidney?1. The active transport of glucose and amino acids out of the filtrate in the proximal convoluted tubule increases the filtrate’s concentration.2. The passive reabsorption of sodium ions in the descending limb of the loop of Henle concentrates the urine.3. The active reabsorption of ions in the thick ascending limb of the loop of Henle, followed by there absorption of water in the collecting ducts in response to antidiuretic hormone (ADH), concentrates the urine.4. The filtration of blood under high pressure in the glomerulus results in a concentrated urine filtrate from the beginning
167. Match the following respiratory structures with their respective functions: Options:1. A − 3, B − 2, C − 4,D − 12. A − 4, B − 1, C − 3,D − 23. A − 1, B − 4, C − 2,D − 34. A − 2, B − 3, C − 1,D − 4
168. A gene showing co-dominance has?1. One allele is dominant on the other2. Alleles are tightly linked on the same chromosome3. Alleles that are recessive to each other4. Both alleles are independently expressed in the heterozygote
169. Consider the two statements:Assertion (A): Plant growth and development is intimately linked to the water status of the plant.Reason (R): Plant can loose a significant amount of water through transpiration.1. Both (A) and (R) are True and (R) correctly explains (A)2. Both (A) and (R) are True but (R) does not correctly explain (A)3. (A) is True, (R) is False4. (A) is False, (R) is True
170. In which of the following gametophyte is not independent free-living?1. Funaria2. Marchantia3. Pteris 4. Pinus
171. Antirrhinum majus with pink flowers is crossed with Antirrhinum majus with white flowers. What is the expected phenotypic ratio in the progeny?1. 1 [red] ∶ 2 [pink] ∶ 1 white2. 3 [red] ∶ 1 [white]3. 1 [pink] ∶ 1 [white]4. 3 [pink] ∶ 1 [white]
172. Select the incorrect statement:1. Human males have one of their sex-chromosome much shorter than the other.2. Male fruit fly is heterogametic.3. In male grasshoppers, 50% of sperms have no sex chromosome.4. In domesticated fowls, the sex of progeny depends on the type of sperm rather than the egg
173. Identify the correct statement regarding the stem morphology from the following:I: Axillary buds may get modified into thorns as in gourds.II: Stem tendrils develop from axillary buds as in Citrus.1. Only I 2. Only II3. Both I and II4. Neither I nor II
174. Which of the following represents the action of insulin?1. Increases blood glucose levels by stimulating glucagon production2. Decreases blood glucose levels by forming glycogen3. Increases blood glucose level by promoting cellular uptake of glucose4. Increases blood glucose levels by hydrolysis of glycogen
175. How have life history traits of different species evolved according to ecologists?1. They have evolved randomly, without any influence from the environment.2. They are shaped by abiotic and biotic factors in the habitat, determining reproductive strategies and survival mechanisms.3. They are identical across all species, as evolution follows a single path.4. They only evolve in response to predation pressure, not other ecological constraints.
176. Consider the given two statements:Assertion (A): Proteins can have a quaternary structure.Reason (R): The quaternary structure of protein is the folding of the protein into a helix.1. Both (A) and (R) are True and (R) correctly explains (A)2. Both (A) and (R) are True but (R) does not correctly explain (A)3. (A) is True but (R) is False4. Both (A) and (R) are False
177. Plant and animal cells are different. Identify the correct difference:I: Plant cells possess cell walls, plastids and a large central vacuole which are absent in animal cells.II: Animal cells have centrioles which are absent in almost all plant cells.1. Only I is correct2. Only II is correct3. Both I and II are correct4. Both I and II are incorrect
178. In taxonomy:I: Nomenclature is critical as it allows a particular organism to be known by the same name all over the world.II: Identification is critical as nomenclature or naming is only possible when the organism is described correctly and we know to what organism the name is attached to.1. Only I is correct2. Only II is correct3. Both I and II are correct4. Both I and II are incorrect
179. Consider the two statements:Statement I: Antheridium in bryophytes produces biflagellate antherozoids.Statement II: Archegonium in bryophytes produces a single egg.1. Statement I is correct; Statement II is incorrect2. Statement I is correct; Statement II is correct3. Statement II is correct; Statement I is incorrect4. Statement I is incorrect; Statement II is incorrect
180. Consider the given statements regarding the 24 hour average duration of cell cycle of a human cell:I: The M Phase represents the phase when the actual cell division takes place.II: The interphase represents the phase between two successive M phases.III: Cell division proper lasts for only about 50% of the duration of the cell cycle.IV: The interphase lasts for about 50% of the duration of cell cycle.1. Only I and II are correct2. Only III and IV are correct 3. Only I and III are correct4. Only II and IV are correct