Written by
in
Welcome to your NEET FULL TEST IV (08.11.2025)
IMPORTANT INSTRUCTIONS
1. The test is of 3 hours duration and Test Booklet contains 180 questions. Each question carried 4 marks for each correct response, the candidate will get 4 marks. For each incorrect response, one mark will be deducted from the total scores.2. Use of Cell phone/Electronics gadgets/Calculator etc. are not allowed.
PHYSICS1. A wheel is rolling on a plane surface. The speed of a particle on the highest point of the rim is 8m/s. The speed of the particle on the rim of the wheel at the same level as the center of wheel in m/s, will be
1) 4√22) 4 3) 84) 8√2
1) 2r2) √2 r 3) 3r4) √3 r
1) 1500 N2) 1000 N3) 1200 N4) 0
1) 43.52π2) 53.25π3) 43.25π4) 53.52π
1) OR gate2) NOR gate 3) AND gate4) NAND gate
1) π/2 2) 2π3) 3π/2 4) π
1) Aω 2) ω/k3) dω/dk4) x/t
1) 25cm2) 12.5cm3) 100cm4) 200cm
1) 5062) 5103) 5164) 158
1) a = 0.7x2) a = -200x23) a = -10x 4) a = 100x3
1) Zero2) A3) 2A4) 4A
1) 5N2) 4N3) 0.15N4) 0.3N
1) 6.25×1018 2) 6.25×10193) 6.25×10154) 6.25×1021
1) Resistivity 2) Conductivity3) Inductance 4) Conductance
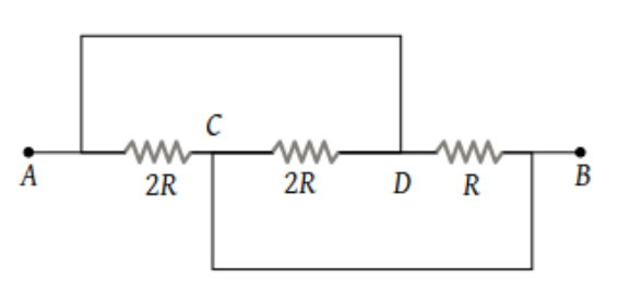
1) 2 Ω 2) 18 Ω3) 3 Ω4) 3.6 Ω
1) R 2) 2 R3) 1/2 R 4) 2/3 R
1) 0.02 V2) 0.2 V 3) 2×10-3 V 4) 2 V
1) 1·389 H2) 138·88 H3) 0·138 H 4) 13·89 H
1) 2×10−5 H2) 3×10−5 H3) 4×10−5 H 4) 6×10−5 H
1) 25 V2) zero 3) 20 V4) 15 V
1) 5π V 2) 2π V3) 4π V 4) π V
1) 2 mA2) 1 mA3) 0.5 mA 4) 3 mA
1) 152) 25 3) 35 4) 45
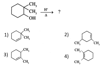
CHEMISTRY
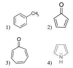
48.
1) CH3CHO2) CH3CH2CH=CH23) CH3COCH3 4) CH3CH2CHO
49. The compound that is most reactive towards electrophilic nitration is
1) toluene 2) benzoic acid 3) benzene4) nitrobenzene
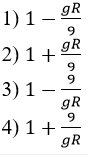
50. Which of the following compounds will exhibit geometrical isomerism?
1) 2-Phenyl-1-butene2) 1, 1-Diphenyl-1-propane3) 1-Phenyl-2-butene4) 3-Phenyl-1-butane
51. Which following electrophilic substitution reactions faster than benzene?
1) Benzaldehyde 2) Aniline3) Chlorobenzene 4) Nitrobenzene
52. The correct order of boiling points of 2, 2-dimethylpropane, 2-methylbutane and n-pentane is1) n-pentane > 2, 2-dimethylpropane 2-methylbutane >2) n-pentane > 2-methylbutane > 2, 2-dimethylpropane3) 2,2-dimethylpropane > n-pentane > 2-methylbutane4) 2-methylbutane 2,2-dimethylpropane > n-pentane >Deselect Answer
53. Which one of the following compounds does not decolourize bromine water?
1) Phenol2) aniline3) Ethene 4) Benzene
54. Which one of the following alkenes will react fastest with H₂ under catalytic hydrogenation conditions?Deselect Answer
1) KMnO42) NaBH43) H2/Pt4) K2Cr2O7/H2SO4
1) 332) 363) 354) 37
1) 3 and +3 2) 3 and 03) 6 and +3 4) 4 and +2
1) C2O42-2) SCN–3) CN4)
1) K3 [Fe(C2O4)3] 2) K[Fe(C2O4)3]3) K2 [Fe(C2O4)3] 4) K4[Fe(C2O4)3]
1) 6 and 22) 6 and 33) 2 and 64) 3 and 6
1) ido2) ate3) ium4) usually keep their common name
1) 302) 323) 344) 36
1) Tl2) Ga3) In4) Al
1) Ga2) Al3) B 4) In
1) Silica 2) Silicates3) Silicones 4) Zeolites
BOTANY
1) actinomorphic, hypogynous with twisted aestivation2) actinomorphic, epigynous with valvate aestivation3) zygomorphic, hypogynous with imbricate aestivation4) zygomorphic, epigynous with twisted aestivation
1) Six2) Seven3) Eight 4) Five