Written by
in
Welcome to your JEE WEEKLY TEST MATHEMATICS (26.09.2025)
1. A lady wants to select one cotton saree and one polyester saree form a textile shop. If there are 15 cotton and 13 polyester varieties in that shop, in how many ways can she pick up two sarees
1) 1252) 2153) 3454) 195
2. In a class, there are 30 boys and 18 girls. The teacher wants to select one boy and one girl to represent the class for quiz competition. In how many ways can the teacher make this selection?
1) 625 2) 1253) 254) 540
3. How many numbers are there between 100 and 1000, in which all the digits are distinct?
1`) 7292) 6483) 858 4) 546
4. How many three digit odd numbers can be formed using the digits 1,2,3,4,5,6 if the repetition of digit is not allowed
1) 216 2) 1203) 604) 50
5. The number of ways in which a man can invite one or more of his friends to dinner is?
1) 302) 633) 1204) 15
6. How many number of four digits can be formed with the digits 1,2,3,4,5 if the digit can be repeated in any number of times?
1) 552) 5!3) 6254) 9000
7. There are 7 chairs in a row. In how many ways can 3 persons occupy any three of them
1) 2402) 2103) 2604) 120
8. How many 4 digit numbers are there, when a digit may be repeated any number of times?
1) 3×432) 9×1033) 104 4) 410
9. How many three digit odd numbers can be formed by using the digits 5,6,7,8 of the repetition of digits is allowed?
1) 642) 323) 244) 30
10. A class is composed by 2 brothers and 6 other boys. In how many ways can all the boys be seated at the round table so that the 2 brothers are not seated beside each other
1) 14402) 43203) 36004) 720
11. Numbers greater than 1000 but not greater than 4000 are ti be formed with the digits 0,1,2,3,4 allowing repetitions, the number of possible numbers is
1) 3702) 3763) 3654) None of these
12. A coin is tossed n times, the number of all possible outcomes is
1) 102) 63) 124) none of these
14. The number of ways in which n shirts can be selected from a rack displaying 3n different shirts is
15. Find the rank of word ‘WIFE’ among the words that can be formed with its letters and arranged as in dictionary is
1) 82) 243) 44) 18
16. In how many ways can the letters of the word ‘MATHEMATICS’ be permuted so that consonants always occur together?
17. The number of triangles that can be formed with 6 points on a circle is
1) 152) 63) 20 4) 12
18. The number of ways in which a necklace can be formed by using 5 identical red beads and 6 identical white beads is:
19. Find the number of positive integers greater than 6000 and less than 7000 which are divisible by 5, provided that no digit is to be repeated
1) 1002) 1123) 2004) 212
20.
1) 202) 123) 64) 30
21. How many words can be formed using the letters of the word ‘PENALTY’ where ‘T’ is the starting letter and ‘E’ is positioned in the middle
1) 2402) 7203) 1204) 180
22. How many possible two-digit numbers can be formed by using the digits 3, 5 and 7 (repetition of digits is allowe4)?
1) 102) 93) 84) 7
24. The general term in the expansion of (a-b)n is
25. In a binomial expansion with power 13
1) one of the middle term is the 7th term2) the middle term is the average of the 6th and the 7th terms3) the middle term is obtained by subtracting 6th term from the 7th term.4) there are two middle terms 6th and 7th term
26. The middle term in the expansion of (x+y)10 is the
1) 6th term2) 5th term3) average of 5th and 6th terms4) 7th term
27. If the coefficients of 7th and 13th terms in the expansion of (1+x)n are equal, then is equal to
1) 102) 153) 18 4) 20
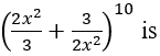
28. The sixth term in the expansion of
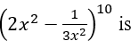
29. The middle term in the expansion of
1) 254 2) 2523) 2504) 251
30. The number of terms in the expansion of (2x-3y)8 is
1) 62) 93) 84) 5