Written by
in
Welcome to your NEET WEEKLY TEST CHEMISTRY (22.11.2025)
IMPORTANT INSTRUCTIONS
1. The test is of 90 minutes duration and Test Booklet contains 45 questions. Each question carried 4 marks for each correct response, the candidate will get 4 marks. For each incorrect response, one mark will be deducted from the total scores.2. Use of Cell phone/Electronics gadgets/Calculator etc. are not allowed.
CHEMISTRY
1) [Co(en)₂Cl₂]⁺ 2) [Co(en)₃]³⁺3) [Pt(en)₂Cl₂] 4) [Cr(H₂O)₂(en)₂]³⁺
2. Which complex has the highest number of unpaired electrons?
1) [Mn(H₂O)₆]²⁺ 2) [Fe(CN)₆]⁴⁻3) [CoF₆]³⁻4) [Cr(NH₃)₆]²⁺
3. The spin-only magnetic moment of [Fe(H₂O)₆]²⁺ is:
1) 2.83 BM2) 4.90 BM3) 5.92 BM4) 1.73 BM
4. Which complex will NOT show optical isomerism?
1) [Co(en)₃] ³⁺2) [Pt(NH₃)₂Cl₂]3) [Cr(en)₂Cl₂] ⁺ 4) [Co(NH₃)₄Cl₂]⁺d) 5g
5. Square planar geometry is shown by?
1) [NiCl₄] ²⁻2) [Ni(CN)₄]²⁻3) [CuCl₄] ²⁻ 4) [Zn (NH₃)₄]²⁺
6. The correct name of [Fe(CO)₄(NO)]⁺ is:1) Tetracarbonylnitrosyliron (I) ion2) Tetracarbonylnitrosyliron (II) ion3) Tetracarbonylnitrosyliron (0) ion4) Tetracarbonylnitritoiron (I) ionDeselect Answer
7. The correct name of K[Cr(SCN)₄(H₂O)₂] is:1) Potassiumdiaquatetrathiocyanato chromate(IV)2) Potassium diaquatetrathiocyanatechromium (III)3) Potassium diaquatetraisothiocyanato-S-chromate(III)4) Potassium diaquatetrathiocyanato-S-chromate(III)Deselect Answer
8. Which complex is paramagnetic but inner-orbital (d²sp³)?
1) [Fe(CN)₆]⁴⁻2) [CoF₆]³⁻3) [Cr(CN)₆]⁴⁻4) [Fe(H₂O)₆]²⁺
9. The electronic configuration t₂g⁴ eg² corresponds to:
1) High-spin d⁵2) High-spin d⁶3) Low-spin d⁶4) High-spin d⁷
10. Formula of Sodium hexacyanomanganate(III):
1) Na₃[Mn(CN)₆] 2) Na₂[Mn(CN)₆]3) Na₄[Mn(CN)₆] 4) Na₅[Mn(CN)₆]
11. The incorrect statement about Crystal Field Splitting in tetrahedral complexes is?1) non-axial orbitals are repelled more by ligands2) energy of t2 > e3) t2 orbitals lie at – 0.4 Δt4) CFS is measured in terms of Δt Deselect Answer
12. The oxidation state of Cr in CrO5 is
1) +102) -23) +6 4) +12
13. Which of the following will be formed when lead storage battery is charged?1) Sulphuric acid is formed2) Sulphuric acid is consumed3) Hydrochloric acid is formed4) Lead is formedDeselect Answer
14. How many hours does it take to reduce 3 mol of Fe3+ to Fe2+ with 2.0 A current?
1) 36 hrs2) 40hrs3) 42hrs4) 45 hrs
15. Which of the following is the strongest oxidizing agent?
1) Cu2+/Cu2) Ag+/Ag3) Ni2+/Ni 4) Fe3+/Fe2+
16. How many moles of electrons are required to Reduce 1 mol of MnO42- to Mn2+
1) 42) 53) 64) 7
17. How many moles of electron are Required to Produce 10g of Mg from MgO
1) 0.82 2) 1.23) 1.14) 0.86
1) 1.07 V2) 1.06 V3) 1.26 V4) 1.54 V
1) -66.50 KJ2) -60.32 KJ3) -69.48 KJ4) -67.42 KJ
1) NaCl 2) KCl3) HCl 4) KNO3
1) 3.312 x 1052) 3.12 x 10-63) 1.34 x 10-5 4) 3.33 x 10 6
1) 1.65 x 102 C2) 1.93 x 105 C3) 96500 C4) 1.2 X 104 C
1) 1.06 x 1022) 1.2 x 1033) 5.2 x 10-2 4) 0.1 x 103
1) NO22) NO2–3) NO2+ 4) NO3–
1) BN 2) B3) B4C4) B2H6
1) SiO–2) SiO44-3) SiO32- 4) SiO42-
1) PH32) ClF33) NCl34) BCl3
1) Graphite2) Graphene3) Fullerene4) Dry Ice
The product Y isDeselect Answer
38. Among the following the most stable compound is1) cis-1,2-cyclohexanediol2) trans-1,2-cyclohexanediol3) cis-1,3-cyclohexenediol4) trans-1,3-cyclohexanediolDeselect Answer
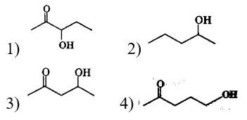
39. Which of the following alcohols will not give iodoform test?
1) Acetophenone 2) Propan-1-ol3) Butan-2-ol 4) Ethanol
40. Increasing order of acid strength among p-methoxyphenol, p-methylphenol and p-nitrophenol is1) p-nitrophenol, p-methoxyphenol, p-methylphenol2) p-methylphenol, p-methoxyphenol, p-nitrophenol3) p-nitrophenol, p-methylphenol, p-methoxyphenol4) p-methoxyphenol, p-methylphenol, p-nitrophenol.Deselect Answer
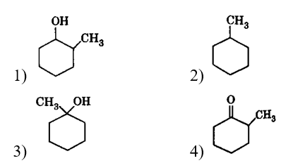
1) Secondary alcohol by SN12) Tertiary alcohol by SN13) Secondary alcohol by SN24) Tertiary alcohol by SN2
1) 2,4,6-Trinitrophenol2) Benzoic acid3) o-Nitrophenol4) Benzenesulphonic acid
1) (CH3)2CH-O-CH2CH32) CH3(CH2)4-O-CH33) CH3CH2CH(CH3)-O- CH2CH34) CH3-(CH2)3-O- CH2CH3Deselect Answer
44. The major product formed in the following reaction is:Deselect Answer
45. A tertiary alcohol is obtained1) by the reaction of an aldehyde and a Grignard reagent2) by the reaction of a ketone and a Grignard reagent3) when an aldehyde is reduced with LiAlH44) when a ketone is reduced with LiAlH4.Deselect Answer