Written by
in
Welcome to your NEET REVISION TEST XVIII (01.04.2026)
PHYSICS
3. In a hydrogen atom, which of the following electronic transitions would involve the maximum energy change?1. From n = 2 to n = 12. From n = 3 to n = 13. From n = 5 to n = 24. From n = 3 to n = 2Deselect Answer
1. 10 cm 2. 15 cm3. 20 cm4. 25 cm
CHEMISTRY
1. Cl₂2. Br₂3. F₂ 4. I₂
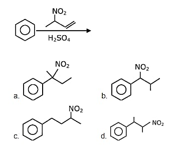
Product C is
(1) CH3-CH2-CH2-CH3(2) CH2 = CH – CH3(3) CH2 = CH – CH2-CH3(4) CH3 – CH = CH – CH3