Written by
in
Welcome to your NEET REVISION TEST X (28.02.2026)
PHYSICS
2. To get output Y = 1 in the given circuit which of the following input will be correct?     A        B         C     1.    1      0         12.   1      1      03.   0     1      04.   1     0      0Deselect Answer
Deselect Answer
19. Consider the following figure representing the displacement of an object in one dimension.Which of the following best represents the graph of acceleration versus time?Deselect Answer
20. Two proton beams are moving in a parallel direction. Which of the following statements is correct?1. The force between the proton beams will be attractive.2. The magnetic force between proton beams will be attractive.3. Repulsive forces will be smaller than attractive forces.4. The magnetic and electrostatic forces will cancel each other.Deselect Answer
21. If two convex lenses of powers P1, P2 be placed close together, co-axially, the combination behaves as a lens of power:Deselect Answer
1. K/22. K/43. 2K 4. 2K
1. sin-1 (0.3)2. sin-1 (0.6)3. cos-1 (0.3)4. cos-1 (0.6)Deselect Answer
40. We view an object at various distances using a mirror with a focal length of 12 m. (refer to the figure)If the object is placed 6 m in front of the mirror, where is the image?1. 6 m in front of the mirror.2. 6 m behind the mirror.3. 12 m in front of the mirror.4. 12 m behind the mirror.Deselect Answer
1. 140 J2. 130 J3. 100 J4. 120 J
1. 4mgR2. mgR3. 3mgRÂ 4. 2mgR
1. 1:32. 3:13. (3)1/3: 1 4. 1:1
CHEMISTRY
55. Deselect Answer
56. Given below are half-cell reactions:Will the permanganate ion,, liberate O2 from water in the presence of an acid?1. No, because = -2.733 V2. Yes, because cell = +0.287 V3. No, because cell = -0.287 V4. Yes, because cell = +2.733 VDeselect Answer
57. The pH of a 0.045 M solution of the monoprotic acid is 5.30. What is the Ka of monoprotic acid?(Given: 10-5.30 = 5.0 Ă 10 -6 )1. 1.1 Ă 10– 4 2. 5.0 Ă 10 -63. 2.0 Ă 10 -9 4. 5.6 Ă10 -10Deselect Answer
58. Upon strong heating, what is the weight of the residue produced by 2.76 gram silver carbonate? Consider the following reaction for reference:Ag2 CO3Â â 2Ag + CO2Â + 1/2 O21. 2.16 g2. 2.48 g3. 2.32 g4. 2.64 gDeselect Answer
59. The number of hydrate isomers of CoCl3.6H2O is / are:1. One (1)2. Two(2)3. Three(3)4. Four(4)Deselect Answer
60. Complete the following reaction:Deselect Answer
and Z respectively, are:1. 2, 5, 162. 8,2,53. 5, 2, 16 4. 5,8,4Deselect Answer
1. I and II2. 1 and III3. II and III4. 1, II and III
Options:            (A)      (B)      (C)      (D)1. III     IV      I      II2. II         IV     I          III3. IV     I      II     III4. III     I      IV     II
BIOLOGY
91. Given below are two statements:Assertion(A): Porphyra is a member of Rhodophyceae and called red algaReason (R): Predominant pigment in Porphyra is a red pigment, r-phycoerythrin1. Both (A) and (R) are True and (R) is the correct explanation of (A).2. Both (A) and (R) are True but (R) is not the correct explanation of (A). 3. (A) is True but (R) is False.4. Both (A) and (R) are False.
92. Consider the given two statements:Assertion (A): In Grasshoppers, the males have an odd number and females have an even number of chromosomes.Reason (R): Males develop parthenogenetically in Grasshoppers.1. Both (A) and (R) are True and (R) is the correct explanation of (A).2. Both (A) and (R) are True but (R) is not the correct explanation of (A).3. (A) is True but (R) is False.4. (A) is False but (R) is True.
93. Assertion (A): The female anopheles mosquito is not considered a parasiteReason (R): The bite of the female anopheles mosquito injects infective stage of malarial parasite into human blood1. Both (A) and (R) are True and (R) is the correct explanation of (A) 2. Both (A) and (R) are True but (R) is not the correct explanation of (A)3. (A) is True but (R) is False4. Both (A) and (R) are False
94. The molecule shown in the given figure:1. is a lipid2. constitutes majority of a cell membrane in animal cells3. is a macromolecule4. is hydrophilic
95. Adisson’s disease:I: is caused by excessive secretion of adrenal cortex hormones.II: is characterised by altered carbohydrate metabolism causing acute weakness and fatigue.1. Only I is correct2. Only II is correct3. Both I and II are correct4. Both I and II are incorrect
96.Which of the following statements is correct about the type of junction and their role in our body?1. Adhering junctions facilitate the cells to communicate with each other.2. Tight junctions help to stop substances from leaking across a tissue.3. Tight junctions help to perform cementing to keep neighbouring cells together.4. Gap junctions help to create gap between the cells and tissues.
97. Which of the following factors are favourable for the formation of oxyhaemoglobin in alveoli?1. High pO2 and Lesser H + concentration2. Low pCO2 and High H + concentration3. Low pCO2 and High temperature4. High pO2 and High pCO2
98. Consider the two statements:Assertion (A): Insulin causes decreased blood glucose levels (hypoglycemia).Reason (R): Insulin acts mainly on hepatocytes and adipocytes (cells of adipose tissue), and enhances cellular glucose uptake and utilisation.1. (A) is True; (R) is False2. Both (A) and (R) are True but (R) does not correctly explain (A)3. Both (A) and (R) are True and (R) correctly explains (A)4. (A) is False; (R) is True
99. Neural signals through the sympathetic nerves (part of ANS) can increase the:I: rate of heartbeatII: strength of ventricular contractionIII: cardiac output1. Only I and II 2. Only I and III3. Only II and III 4. I, II and III
100. The extinct reptilian lineage that evolved into dinosaurs and later on the birds is:1. Pelycosaurs2. Synapsids3. Tuataras 4.Thecodonts
101. Match the parts of the brain with their functions:1. A â iii, B â i, C â ii2. A â ii, B â iii, C â i3. A â i, B â ii, C â iii4. A â iii, B â ii, C â i
102. The taxonomic category ‘family’ in plants is identified by the following ‘suffix”:1. -ales2.-onae3. -aceae4.-ae
103. Consider the given two statements:Assertion (A): Frogs have the capability to change the colour and resemble their surroundings.Reason (R): They are poikilothermous animals.1. (A) is True but (R) is False2. Both (A) and (R) are True but (R) does not correctly explain (A)3. Both (A) and (R) are True and (R) correctly explains (A)4. (A) is False but (R) is True
104. Consider the following statements regarding green algae:I: Pigments are located in definite plastidsII: Most have pyrenoids in chloroplastsIII: Cell wall has an inner layer of pectose and outer layer of cellulose1. Only I and II are correct2. Only I and III are correct3. Only II and III are correct4. I, II and III are correct
105. Consider the given two statements:Assertion(A): Passive immunity is instant immunity.Reason(R): Passive Immunity results when exposure to a disease causing organism triggers the immune system to produce antibodies to that disease.1. Both (A) and (R) are True and (R) correctly explains (A)2. Both (A) and (R) are True but (R) does not correctly explain (A)3. (A) is True, (R) is False4. (A) is False, (R) is True
106. Assertion (A): The genetic sex of an individual with Klinefelter’s syndrome is female    Reason (R): Only X-chromosome is present in their genotype1. Both (A) and (R) are True and (R) is the correct explanation of (A)2. Both (A) and (R) are True but (R) is not the correct explanation of (A)3. (A) is True but (R) is False4. Both (A) and (R) are False
107. Match the following cell structure with its characteristic feature:Select the correct option from the following:Options: Â Â (a) (b) (c) (d)1. (ii) (iv) (i) (iii)2. (iv) (ii) (i) (iii)3. (iii) (i) (iv) (ii)4. (iv) (iii) (i) (ii)
108. During which stage of the meiotic cell division does the centromere split leading to the separation of sister chromatids?1. Metaphase I 2.Metaphase II3.Anaphase I4.Anaphase II
109. Match the pulmonary volume/capacity given in Column-1 with the corresponding description in Column-II and select the correct match from the given:Codes: Â Â A B C D1. P Q R S2. P Q S R3. Q P R S4. Q P S R
110. Milk of transgenic ‘Cow Rosie’ was nutritionally cow milk because it contained: more balanced product for human babies than natural1. Human protein a-1-antitrypsin.2. Human alpha-lactalbumin.3. Human insulin-like growth factor.4. Human enzyme Adenosine Deaminase (ADA).
111. Pinus seeds cannot germinate and establish without fungal association. This is because:1. its seeds contain inhibitors that prevent germination.2. its embryo is immature.3. it has an obligate association with mycorrhizae.4. it has a very hard seed coat
112. How many of the given statements are correct?I: The left and right cerebral hemispheres are connected by a tract of nerve fibres called corpus spongiosum.II: Association areas are neither clearly sensory nor motor in function.â ˘: Thalamus is a major coordinating centre for sensory and motor signaling.IV: The hindbrain comprises pons, cerebellum and medullaV: Three major regions make up the brain stem: mid brain, pons and medulla oblongata.1. 22. 33. 44. 5
113. Consider the two statements:Assertion (A): Any subsequent encounter with the same pathogen elicits highly intensified secondary response of the acquired immune system in our body.Reason (R): Acquired immune response retains the memory of previous encounters with the antigens1. Both (A) and (R) are True and the (R) correctly explains (A).2. (A) is True; (R) is False3. (A) is False; (R) is True4. Both (A) and (R) are True but the (R) does not correctly explain (A).
114. Assertion (A): Pneumatophores are critical for the survival of certain mangrove species, including Rhizophora.  Reason (R): Mangrove plants live in unique habitat, which is characterized by waterlogged and often anoxic soil conditions and pneumatophores help in respiration under such conditions.1. Both (A) and (R) are True and (R) correctly explains (A).2. Both (A) and (R) are True and (R) does not correctly explain (A).3. (A) is True; (R) is False4. Both (A) and (R) are False
115. Endoparasites are generally characterised by:1. greatly simplified morphological and anatomical features and high reproductive potential.2. greatly simplified morphological and anatomical features and low reproductive potential.3. highly developed morphological and anatomical features and high reproductive potential.4. highly developed morphological and anatomical features and low reproductive potential.
116. Consider the given statements:I: Plant growth and development are intimately linked to water status of the plant.II: Hormones are chemical substances that regulate growth in plants.III: All discovered Gibberellins are acidic.1. Only I and II are correct2. Only I and III are correct.3. Only II and III are correct4. I, II and III are correct
117. Consider the two statements:Statement I: The number of ATP molecules synthesised by oxidative phosphorylation in mitochondria depends on the nature of the electron donor.Statement II: Oxidation of one molecule of NADH gives rise to 2 molecules of ATP, while that of one molecule of FADH, produces 3 molecules of ATP.1. Statement I is correct: Statement II is incorrect2. Statement I is correct: Statement II is correct3. Statement 1 is incorrect: Statement II is incorrect4. Statement I is incorrect: Statement II is correct
118. The type of immunity responsible for graft rejection is:1. Humoral immunity2. Cell mediated immunity3. Innate immunity4. Hyperimmunity.
119. The difference between ex situ and in situ conservation is:1. Ex situ conservation involves protecting an entire ecosystem in its natural habitat, while in situ conservation involves preserving genetic material in gene banks.2. In situ conservation, involves protecting an entire ecosystem and its inhabitants in their natural habitat, while ex situ conservation involves protecting species by removing part of the population from a threatened habitat and placing it in a new location.3. In situ conservation involves protecting an entire ecosystem and its inhabitants in their natural habitat, while ex situ conservation involves protecting species by keeping them in locations such as zoos or botanical gardens.4. Ex situ conservation involves protecting species in their natural habitat, while in situ conservation involves research on species in laboratories.
120. PTH is a hypercalcemic hormone. Which of the following statements will explain this function of PTH?I: PTH acts on bones and stimulates the process of bone resorption (dissolution/demineralisation).II: PTH stimulates reabsorption of Ca2+ by the renal tubulesIII. PTH increases Ca²+ absorption from the digested food1. Only I and II 2. Only I and III3. Only II and III4. I. II and III
121. Match the following Column-1 with Column-II and select the correct option  A  B  C  D1. (iii) (i) (ii) (iv)2. (ii) (iv) (iii) (i)3. (iii) (iv) (i) (ii)4. (ii) (i) (iii) (iv)
122. Consider the following two statements:A: The genetic code is degenerate.B: The genetic code is ambiguous.1. Only A is correct.2. Only B is correct.3. Both A and B are correct.4. Both A and B are incorrect.
123. Identify the incorrect statement regarding prophase stage of mitosis:1. It follows the Gâ phases of interphase.2. It is marked by the initiation of condensation of chromosomal material.3. The centrosome undergoes duplication during this phase in animal cells.4. By the end of this phase, chromosomes are seen to be composed of two chromatids attached together at the centromere.
124. In agar gel electrophoresis, the restriction fragments produced by restriction enzymes:1. move towards cathode2. do not move at all3. are separated according to size with smaller fragments moving farther4. are transported onto a nitrocellulose membrane
125. Collenchyma cells are characterized by:1. Uniformly thickened non-lignified cell walls2. Thickened corners with a high concentration of cellulose and pectin3. Lignified cell walls4. Being dead and providing mechanical support only
126. Which of the following is a commercial blood cholesterol-lowering agent?1. Lipase 2. Cyclosporin A3. Statin. 4. Streptokinase
127. Which of the following correctly represents the order of taxonomic categories from lowest to highest?1. Speciesâ Genus âFamilyâ Orderâ Class2. Kingdom â Phylum â Class â Order âSpecies3. Family â Genusâ Species â Class â Order4. Class â Family â Genus â Species â Order
128. đś4 plants are special. Which of the following will be true for C, plants?a. They have a special type of leaf anatomyb. They tolerate higher temperaturec. They show a response to high light intensitiesd. They lack a process called photorespiratione. They have greater productivity of biomass1. All except (e)2. (b), (c) and (d) only3. All4. (a), (b). (d) and (e) only
129. Consider the given two statements:Statement I: The blastomeres in the blastocyst are arranged into an inner layer called trophoblast and an outer group of cells attached to trophoblast called the outer cell mass.Statement II: The outer cell mass then gets attached to the myometrium and the trophoblast cells get differentiated as the embryo.1. Statement I is correct; Statement II is correct2. Statement I is incorrect; Statement II is correct3. Statement I is correct; Statement II is incorrect4. Statement I is incorrect; Statement II is incorrect
130. Which of the following statements about white blood cells (leukocytes) is NOT correct?1. Neutrophils are the most abundant type of white blood cells in most mammals and form an essential part of the innate immune system.2. Lymphocytes are involved in the creation of antibodies, which are crucial for the adaptive immune response.3. Monocytes mature into macrophages and dendritic cells, which can engulf and destroy pathogens through phagocytosis.4. Eosinophils are primarily responsible for the body’s response to parasitic infections and are the predominant white blood cell type in human blood
131. Plants and photosynthetic bacteria (autotrophs), fix sun’s radiant energy to make food from simple inorganic materials\ where plants capture:1. Less than 1% of PAR2. 2-10% of PAR3. 30% of PAR4. 50% of PAR
132. At the end of prophase, which structures are no longer visible under the microscope?1. Chromosomes2. Centrioles3. Golgi complexes, endoplasmic reticulum, nucleolus, and nuclear envelope4. Spindle fibres
133. A minimal amount of pleural fluid present in the pleural cavity:1. provides a medium for the exchange of respiratory gases2. reduces friction between the visceral and parietal pleurae3. provides lubrication for movements of the diaphragm4. permits the exchange of electrolytes during respiration
134. Assertion(A): Selection of recombinants from non-recombinants on the basis of their ability to produce colour in the presence of a chromogenic substrate is more cumbersome than selection of recombinants due to inactivation of antibiotics.    Reason (R): A selectable marker is a gene introduced into a cell, especially a bacterium or to cells in culture, that confers a trait suitable for artificial selection.1. Both (A) and (R) are True and (R) is the correct explanation of (A).2. Both (A) and (R) are True but (R) is not the correct explanation of (A).3. (A) is True but (R) is False.4. (A) is False and (R) is True.
135. ‘Pericarp’ is a derivative of which of the following structures?1. integuments2. endosperm3. ovule wall4. ovary wall
136. Which of the following statements concerning the Endoplasmic Reticulum is incorrect?1. SER are the sites for lipid synthesis2. RER has ribosomes attached to ER3. SER is devoid of ribosomes4. In prokaryotes, only RER is present
137. Match each item in Column I with one in Column II and select the best match from the codes given:Codes: Â Â A B C1. P Q R2. P R Q3. R P Q4. R Q P
138. Progestogens alone or in combination with estrogens can be used as a contraceptive in the form of:1. Implants only2. Injections only3. Pills, injections and implants4. Pills only
139. Consider the given two statements:Statement I: ABO blood grouping is based on the presence or absence of natural antibodies on the RBC surface, namely A and B.Statement II: Plasma of different individuals contains twosurface antigens (chemicals that induce an immune response).Choose the correct option:1. Both Statement I and Statement II are incorrect.2. Both Statement I and Statement II are correct.3. Statement I is correct but Statement II is incorrect.4. Statement I is incorrect but Statement II is correct.
140. Consider the given two statements:Statement I: ADH increases water reabsorption in the collecting ducts of the nephron.Statement II: ADH secretion is stimulated when blood osmolarity decreases.1. Statement I is correct; Statement II is correct.2. Statement I is correct; Statement II is incorrect.3. Statement I is incorrect; Statement II is correct.4. Statement I is incorrect; Statement II is incorrect.
141. Consider the given two statements:Statement I: Taxonomists have been able to identify a vast majority of species present on Earth.Statement II: The number of species that are known and described range between 1.7-1.8 million.1. Statement I is correct; Statement II is correct2. Statement I is correct; Statement II is incorrect3. Statement I is incorrect; Statement II is correct4. Statement I is incorrect; Statement II is incorrect
142. Methanogens:I: are commonly found in the anaerobic sludge during sewage treatment.II: are also present in the rumen (a part of stomach) of cattle.1. Only I is correct2. Only II is correct3. Both I and II are correct4. Both I and II are incorrect
143. Match each item in Column I with one item in given: Column II and select the best match from the codes given:Codes: Â Â A B C D1. R S P Q2. Q R S P3. S P Q R4. P Q R S
144. Consider the given two statements:Statement I: lodine test can detect the presence of starch but not of cellulose in a given sample.Statement II: Starch forms helical secondary structure and can hold iodine molecules while cellulose does not contain complex helices and hence cannot hold iodine.1. Both Statement I and Statement II are correct and Statement II correctly explains Statement I2. Both Statement I and Statement II are correct but Statement II does not correctly explain Statement I3. Statement I is correct but Statement II is incorrect4. Statement I is incorrect but Statement II is correct
145. What is the primary role of anaerobic sludge digesters in sewage treatment plants?1. To aerate the sludge for microbial activity.2. To separate suspended solids from effluent.3. To sediment bacterial flocs into activated sludge.4. To anaerobically digest bacteria and fungi in the sludge and produce biogas.
146. Chemosensitive area situated adjacent to the rhythm center is highly sensitive toA: Carbon dioxide B: OxygenC: Hydrogen ions1. Only A and B2. Only A and C3. Only B and C4. A, B and C
147. Identify A, B, C and D in the given diagram:
148. The reaction-center chlorophyll of a photosystem in higher plant is:1. chlorophyll a2. chlorophyll b3.chlorophyll c 4.chlorophyll d
149. Which of the following statements about In Vitro Fertilization (IVF) is correct?1. IVF involves the direct transfer of the embryo into the uterus without the need for fertilization in a lab.2. The fertilization of the egg occurs inside the female body, and the embryo is then transferred to the laboratory for further development.3. IVF is a process where the egg and sperm are fertilized outside the body, and the zygote or early-stage embryo is then transferred to the uterus.4. Only eggs are collected from the mother and fertilized with donor sperm in a laboratory setting: the zygotes are not transferred back to the original mother’s uterus.
150. Both Xylem and Phloem are complex tissues. At maturity, the living component of xylem and the dead component of phloem respectively are:1. Xylem parenchyma and Phloem parenchyma2. Xylem parenchyma and Phloem fibres3. Xylem fibres and Phloem fibres4. Xylem fibres and Phloem parenchyma
151. Identify the incorrect match regarding the events shown in the given figure:1. A.Cross bridge formation.2. B.The power (working) stroke.3. C. Cross bridge detachment.4. D. Relaxation of myosin head.
152. All the following are male accessory reproductive glands, except:1. Seminal vesicle 2. Testes3. Prostate 4. Bulbourethral gland
153. In artificial hybridization, why is emasculation necessary for bisexual flowers?1. To remove the stigma and prevent unwanted pollination2. To enhance the production of nectar and attract pollinators3. To remove the entire flower to prevent contamination4. To remove the anthers and prevent self-pollination
154. What is the purpose of ICZN?1. To regulate the names of animal species2. To control the import and export of zoological specimens3. To promote zoology as a field of study globally4. To provide guidelines for botanical gardens
155. Match each excretory organ with the corresponding example of an animal or group of animals:Options   A B C D1. R P Q S2. P Q R S3. S R Q P4. S P R Q
156. Which of the following will not be an example of passive immunity?1. Foetus receiving antibodies from their mother, through placenta.2. Immunity conferred by IgA antibodies present in colostrums.3. Giving antivenom [containing antibodies against venom] after snake bite4. A person developing immunity after natural infection by a pathogen
157. Which of the following are also called as ‘minisatellite’ loci in human genome?1. hnRNA 2. SNPs3. ds-dy elements 4. VNTR
158. Which of the following statements is correct?1. Organisms that depend on living plants are called saprophytes.2. Some of the organisms can fix atmospheric nitrogen in specialized cells called sheath cells.3. The fusion of two cells is called Karyogamy.4. Fusion of protoplasms between two motile or non-motile gametes is called plasmogamy.
159. Which of the following best describes the concept of “bioprospecting” as it relates to biodiversity conservation?1. Exploring biodiversity hotspots exclusively for aesthetic and recreational purposes.2. Investigating molecular, genetic, and species-level diversity to discover economically valuable resources.3. Monitoring endangered species populations for scientific documentation.4. Mapping biodiversity to identify areas for in situ conservation efforts.
160. The key difference between Homo habilis and Homo erectus is:1. Homo habilis used tools made of stone, while Homo erectus did not use any tools.2. Homo erectus had a cranial capacity of 900 cc, unlike Homo habilis who had a cranial capacity of about 650 to 800 ŃŃ.3. Homo habilis was capable of language, whereas Homo erectus was not.4. Homo erectus lived in larger social groups compared to Homo habilis
161. All the following are related to the limbic system in the human brain except:1. Amygdala 2. Hippocampus3. Olfactory bulb4. Corpus callosum
162. Regarding Sexually Transmitted Infections [STI]:I: Some of them may be transmitted without sexual contact as well.II: All STIs are incurable.1. Only I is correct2. Only II is correct3. Both I and II are correct4. Both I and II are incorrect
163. Spraying sugarcane crops with which of the following plant growth regulators increases the stem’s length, thus increasing the yield by as much as 20 tonnes per acre?1. Auxins 2. Gibberellins3.Cytokinins 4. ABA
164. Why are pollen grains of angiosperms wellpreserved as fossils?1. Because the exine layer of pollen grains is made of cellulose, which resists degradation by environmental factors.2. Because the exine is composed of sporopollenin, a highly resistant organic material that can withstand high temperatures, strong acids, alkali, and enzymatic degradation.3. Because the germ pores in the exine allow easy fossilization of pollen grains by facilitating mineral deposition.4. Because the exine layer is completely absent, making 4. the pollen grains resistant to environmental degradation.
165. Consider the two statements:Assertion (A): PCR has revolutionized the molecular diagnosis and allows early diagnosis in many cases.Reason (R): PCR can detect very low amounts of DNA in a sample.1. Both (A) and (R) are True and (R) correctly explains (A)2. Both (A) and (R) are True but (R) does not correctly explain (A)3. (A) is True, (R) is False4. (A) is False, (R) is True
166. In the case of peppered moth (Biston betularia), the black-coloured form became dominant over the light-coloured form in England during the industrial revolution. This is an example of:1. natural selection, whereby the darker forms were selected2. appearance of the darker coloured individuals due to very poor sunlight3. protective mimicry4. inheritance of darker colour character acquired due to the darker environment
167. Normally a transcription unit will include all of the following except:1. Operator2. Promoter3. Structural gene4. Terminator
168. A factor that is least likely to affect enzyme activity will be:1. Temperature2. pH3. Substrate concentration4. Enzyme concentration
169. The epithelial cells of Bowman’s capsule, arranged in an intricate manner so as to leave some minute spaces called filtration slits or slit pores, are called as:1. Macula densa 2. Juxtaglomerular cells3. Podocytes 4. Mesangial cells
170. Consider the given two statements:Assertion (A): Plants that do not use PEPcarboxylase in primary carbon fixation are called C3 plants.Reason (R): đś3 plants are so called because, the primary carboxylation reaction, catalyzed by RuBisCO, produces the three-carbon 3-phosphoglyceric acids directly in the Calvin-Benson cycle.1. (A) is True but (R) is False2. Both (A) and (R) are True and (R) explains (A)3. Both (A) and (R) are True but (R) does not explain (A)4. (A) is False but (R) is True
171. Identify the correct statement regarding typhoid fever in human beings:1. It is caused by a pathogenic protozoan Salmonella typhi2. The pathogen remains confined to the small intestine3. Widal test can confirm the infection very early in the disease4. Intestinal perforation and death may occur in severe cases
172. Which of the following fungus does not belong to the Class Ascomycetes?1. Rhizopus2.Aspergillus3. Neurospora 4.Claviceps
173. The Floral Diagram represents which one of the following families?1.Fabaceae2.Brassicaceae3.Solanaceae4.Liliaceae
174. The first clinical gene therapy was given in 1990 to a 4-year-old girl with:1. adenosine deaminase (ADA) deficiency2. alpha-1-antitrypsin deficiency3. phenylalanine hydroxylase deficiency4. homogentisic acid oxidase deficiency
175. Consider the given two statements:Assertion (A): Restriction enzymes cut DNA molecules at specific sites.Reason (R): All restriction enzymes create sticky ends1. Both (A) and (R) are True and (R) is the correct explanation of (A).2. Both (A) and (R) are True but (R) is not the correct explanation of (A).3. (A) is True but (R) is False.4. Both (A) and (R) are False.
176. Given below are two statements: one is labelled as Assertion (A) and the other is labelled as Reason (R):Assertion (A): FSH acts upon ovarian follicles in female and Leydig cells in male.Reason (R): Growing ovarian follicles secrete estrogen in female while interstitial cells secrete androgen in male human being.In the light of the above statements, choose the correct answer from the options given below:1. Both (A) and (R) are True but (R) is not the correct explanation of (A).2. (A) is True but (R) is False3. (A) is False but (R) is True4. Both (A) and (R) are True and (R) is the correct explanation of (A).
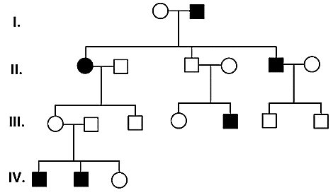
177. In the following human pedigree, the filled symbols represent the affected individuals. Identify the type of given pedigree:1. Autosomal dominant2. X-linked recessive3. Autosomal recessive4. X-linked dominant
178. During the menstrual cycle, the follicular phase in the ovary coincides with what phase in the uterus?1. Secretory2. Menstrual3. Proliferative 4. Luteal
179. Consider the following statements regarding incomplete dominance:Statement I: In incomplete dominance, the Fi phenotype is intermediate between the two parents.Statement II: The phenotypic and genotypic ratios in the Fâ generation are identical.1. Statement I is correct; Statement II is correct.2. Statement I is correct; Statement II is incorrect.3. Statement I is incorrect; Statement II is correct.4. Statement I is incorrect; Statement II is incorrect.
180. What is the role of the adapter molecule tRNA in translation?1. It transfers mRNA to the ribosome for protein synthesis.2. tRNA initiates the transcription of DNA into mRNA.3. tRNA decodes the mRNA codon sequence by matching it with its complementary anticodon and brings the corresponding amino acid.4. tRNA synthesizes proteins by catalyzing peptide bond formation between amino acids