Written by
in
Welcome to your NEET REVISION IV TEST (04.02.2026)
PHYSICS
1. 200√2units 2. 200 units3. 300 units4. zeroDeselect Answer
4. Express the result of the calculation to 3 significant figures:2×0.536+0.0050+2.1001. 3.177 2. 3.18 3. 3.19 4. 3.2Deselect Answer
The wave is travelling along:
1. 10% 2. 7% 3. 4% 4. 14%
CHEMISTRY
1. M2SO42. MSO43. M(SO4)2 4. M2(SO4)3
Deselect Answer
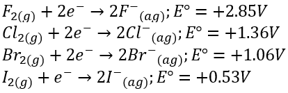
63. Standard reduction potentials of the half-reactions are given below:The strongest oxidizing and reducing agents, respectively, are:1. Br2 and Cl– 2. Cl2 and Br–3. Cl2 and I– 4. F2 and I–Deselect Answer
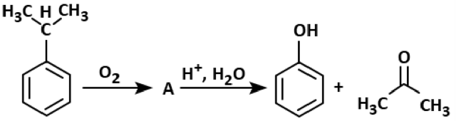
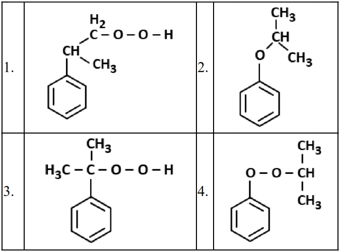
The compound A can be exclusively oxidized into B by:
75. Consider the given statements:Assertion (A): The energy of an electron is mainly decided by its principal quantum number.Reason (R): The principal quantum number (n) is a measure of the most probable distance of finding the electrons around the nucleus.1. Both (A) and (R) are True and (R) is the correct explanation of (A).2. Both (A) and (R) are True but (R) is not the correct explanation of (A).3. (A) is True but (R) is False.4. (A) is False but (R) is True.Deselect Answer